Expression of pituitary gonadotropic hormone and sex hormones receptors in endometrial cellular components during menstrual cycle
- Authors: Magnaeva A.S.1, Tregubova A.V.1, Tsitrina A.A.2, Asaturova A.V.1, Shamarakova M.V.1, Tabeeva G.I.1, Ezhova L.S.1, Kalinina E.A.1, Bozhenko V.K.3
-
Affiliations:
- Kulakov National Medical Research Center for Obstetrics, Gynecology and Perinatology
- Koltzov Institute of Developmental Biology
- Russian Scientific Center of Roentgenoradiology
- Issue: Vol 24, No 3 (2022)
- Pages: 186-192
- Section: ORIGINAL ARTICLE
- Published: 09.07.2022
- URL: https://gynecology.orscience.ru/2079-5831/article/view/106832
- DOI: https://doi.org/10.26442/20795696.2022.3.201677
- ID: 106832
Cite item
Full Text
Abstract
Introduction. The main function of the endometrium is to create the optimal environment for embryo implantation, controlled by multicomponent signaling pathways. They are modulated by progesterone and estradiol acting through related estrogen receptors (ER) and progesterone receptors (PR). Alteration in steroid hormone, follicle-stimulating hormone (FSHR), and luteinizing hormone (LGHR) receptor expression are underlying factors in the development of various reproductive disorders. Therefore, understanding the physiological features of receptors’ expression and localization in tissues is extremely important for a proper comprehensive assessment of the endometrial condition.
Materials and methods. The expression of ER, PR, FSHR, and LGHR in endometrial samples of healthy females from different menstrual periods, who applied for assisted reproductive technologies (ART) due to male infertility, was assessed by immunofluorescence.
Results. The increase in immunoreactivity of ER, PR, FSHR, and LGHR in the glands and stroma of the endometrium is initiated during the early proliferation stage and reaches its maximum during the late proliferation stage. Subsequently, ER expression in the glands and stroma gradually decreases throughout the early and middle stages of secretion; PR immunoreactivity in the stroma and FSHR and LGHR in all endometrial components persists throughout the secretion stage.
Conclusion. The correspondence between the change of the studied receptors' expression and endometrium structural features at different stages of the menstrual cycle was demonstrated. The increased expression of ER, PR, FSHR, and LGHR in the endometrium at the proliferation stage coincides with the growth period of the uterine body mucosa, and the increased immunoreactivity of PR, FSHR, and LGHR during the secretion stage is associated with its decidual transformation and seems to create conditions for successful implantation and embryo development if pregnancy occurs.
Full Text
Введение
Эндометрий представляет собой уникальную, динамически изменяющуюся ткань, основная функция которой заключается в создании оптимальных условий для имплантации эмбриона, обеспечении его роста и развития до формирования плаценты [1]. Известно, что нидация плодного яйца – это сложный процесс взаимодействия эмбриона со слизистой оболочкой тела матки, происходящий исключительно в течение средней стадии секреции и подразумевающий способность эндометрия к децидуальной трансформации, необходимой для имплантации бластоцисты [1]. Контроль за данным процессом осуществляется посредством прогестерона и эстрадиола, действующими через их родственные рецепторы эстрогена (ER) и рецепторы прогестерона (PR). Нарушение экспрессии ER и PR ведет к развитию различных репродуктивных нарушений: невозможности имплантации, что приводит к бесплодию, а также недостаточной или аномальной имплантации, приводящим к самопроизвольному прерыванию беременности или развитию преэклампсии [1–3].
Проведенные в последнее время научные работы показали присутствие в эндометрии иммунореактивности рецепторов фолликулостимулирующего (FSHR) и лютеинизирующего (LHR) гормонов [4, 5], хотя ранее полагали, что экспрессия FSHR присуща лишь клеткам гранулезы яичника [6], а иммунореактивность LGНR – только тека-клеткам и лютеиновым клеткам яичника [7]. Кроме того, доказана активность FSHR и LHR в слизистой оболочке тела матки, поскольку их стимуляция способствовала внутриклеточному накоплению циклического аденозинмонофосфата и усилению регуляции по крайней мере двух генов, стимулирующих стероидогенез [8]. Вероятно, FSHR, LHR, ER и PR оказывают сочетанное влияние на функционирование эндометрия. Однако работ, касающихся комплексного исследования иммунореактивности всех перечисленных маркеров в эндометрии, проведено крайне мало.
Цель работы – изучение экспрессии ER, PR, FSHR и LHR в образцах эндометрия женщин в разные периоды менструального цикла.
Материалы и методы
Материалом для настоящего исследования послужили образцы эндометрия 7 женщин, обратившихся в ФГБУ «НМИЦ АГП им. акад. В.И. Кулакова» для проведения вспомогательных репродуктивных методов в связи с мужским бесплодием. Препараты эндометрия получены при раздельном диагностическом выскабливании матки или аспирации биоптата в процессе обследования пациенток. У всех женщин отмечен регулярный менструальный цикл; гормональные препараты в течение 3 мес, предшествующих манипуляции, ни одна из женщин, вошедших в исследование, не получала. Возраст пациенток составил 25–45 лет. Гистологическое исследование проводилось традиционным способом, препараты, окрашенные гематоксилином и эозином, оценивались тремя разными патоморфологами. В исследование включены образцы слизистой оболочки тела матки, соответствующие фазе пролиферации (ранней, средней и поздней), а также фазе секреции (ранней, средней и поздней) и предменструального эндометрия.
Для иммуногистохимического исследования гистологические срезы, приготовленные из парафиновых блоков, предварительно депарафинизировали и регидратировали в серии ксилола и этанола соответственно. Восстановление антигена проводили с использованием специального буфера (25 mM Tris-HCl (pH 8,5), 1 mM EDTA, 0,05% SDS) при температуре 95°С в течение 40 мин. С целью блокировки неспецифического связывания гистологические срезы в течение 30 мин при комнатной температуре обрабатывали фосфатным буфером, содержащим 10% раствор сыворотки крови козы. Первичные антитела наносились вместе с блокирующим буфером на ночь при температуре 4°С. Далее на срезы добавляли соответствующие флуоресцентно-меченные вторичные антитела (табл. 1). Для изучения экспрессии CD68 проводили дополнительную амплификацию сигнала с помощью Tyramide SuperBoost™ Kit по протоколу производителя. При исследовании HABP-biotin окраску выявляли с использованием флуоресцентно-меченного стрептавидина в сочетании с вторичными антителами. Срезы докрашивались ядерным красителем HCS Nuclear Blue (Thermo Fisher 1:2000). После промывания в растворе PBS-0,2% Triton-X 100 и дистиллированной воде срезы заключали в гипертонический раствор фруктозы.
Таблица 1. Список антител и белков, использованных для иммуногистохимии Table 1. List of antibodies and proteins used for IHC | |||
Мишень | Хост | Каталожный номер | Разведение |
Anti-ER | Rabbit | MA5-14501, Invitrogen | 1:200 |
Anti-PR | Rabbit | MA5-14505, Invitrogen | 1:200 |
Anti-FSHR | Rabbit | PA5-77397, Invitrogen | 1:100 |
Anti-LHR | Rabbit | PA5-21271, Invitrogen | 1:100 |
Anti-CK19 | Mouse | BA17, eBioscience | 1:300 |
Anti-aSMA | Mouse | MA5-11547, Invitrogen | 1:500 |
Anti-vWF | Rabbit | A0082, Dako | 1:500 |
Anti-CD68 | Mouse | MA5-13324, Invitrogen | 1:100 |
HABP-biotin | – | 385911, Sigma Aldrich | 1:100 |
Aanti-mouse AlexaFluor 488 | Goat | A32723, Invitrogen | 1:1000 |
Anti-rabbit AlexaFluor 594 | Goat | A32740, Invitrogen | 1:1000 |
Tiramide SuperBoost kit | Goat anti-mouse | B40912, Invitrogen | Согласно протоколу производителя |
Streptavidin Alexa Fluor 647 | – | S21374, Invitrogen | 1:500 |
HCS Nuclear Blue | – | H10325, Invitrogen | 1:2000 |
Флуоресцентная микроскопия
Готовые препараты анализировали с применением флуоресцентного широкопольного микроскопа Leica DMI6000, оснащенного диодными источниками освещения (385, 470, 530, 590 и 620 нм) и набором соответствующих им светофильтров. В каждом препарате с использованием ахроматического объектива с 20-кратным увеличением (×20, объектив для микроскопа Leica HI PLAN 20×) фотографировали минимум 20 полей зрения. Полученные изображения изучали с помощью программного пакета LAS X и Fiji.
Уровень экспрессии изученных маркеров оценивали по двум критериям: число позитивных клеток по отношению к общему числу клеток, составляющих анализируемую структуру (эпителий, строма, a-SMA-позитивные клетки), и интенсивность их окрашивания, подразделяющуюся на низкую, среднюю и высокую. Уровень иммунореактивности всех рецепторов выражали в Q-score согласно алгоритму [9], приведенному в табл. 2.
Таблица 2. Алгоритм оценки экспрессии исследуемых рецепторов Table 2. Studied receptors’ expression evaluation algorithm | ||
Доля позитивно окрашенных клеток, % (PS) × интенсивность окрашивания (IS) = Q-score (0–12) | ||
Доля позитивно окрашенных клеток, % (PS) | Интенсивность окрашивания (IS), баллы | Уровень экспрессии (Q-score) |
0% – 0 баллов 1–10% – 1 балл 11–50% – 2 балла 51–80% – 3 балла >80% – 4 балла | Нет окрашивания – 0 Слабая – 1 Умеренная – 2 Выраженная– 3 | Негативный – 0–1 Низкий – 2–3 Умеренный – 4–8 Высокий – 9–12 |
Статистический анализ
Статистическую обработку данных проводили с помощью программы GraphPad Prism 8. Количественные показатели оценивались на предмет соответствия нормальному распределению с помощью критерия Шапиро–Уилка. Сравнение исследуемых групп выполнялось с помощью критерия Краскела–Уоллиса, апостериорные сравнения – с помощью критерия Данна с поправкой Холма. Статистически значимым считали значение р<0,05.
Результаты
Экспрессия ER
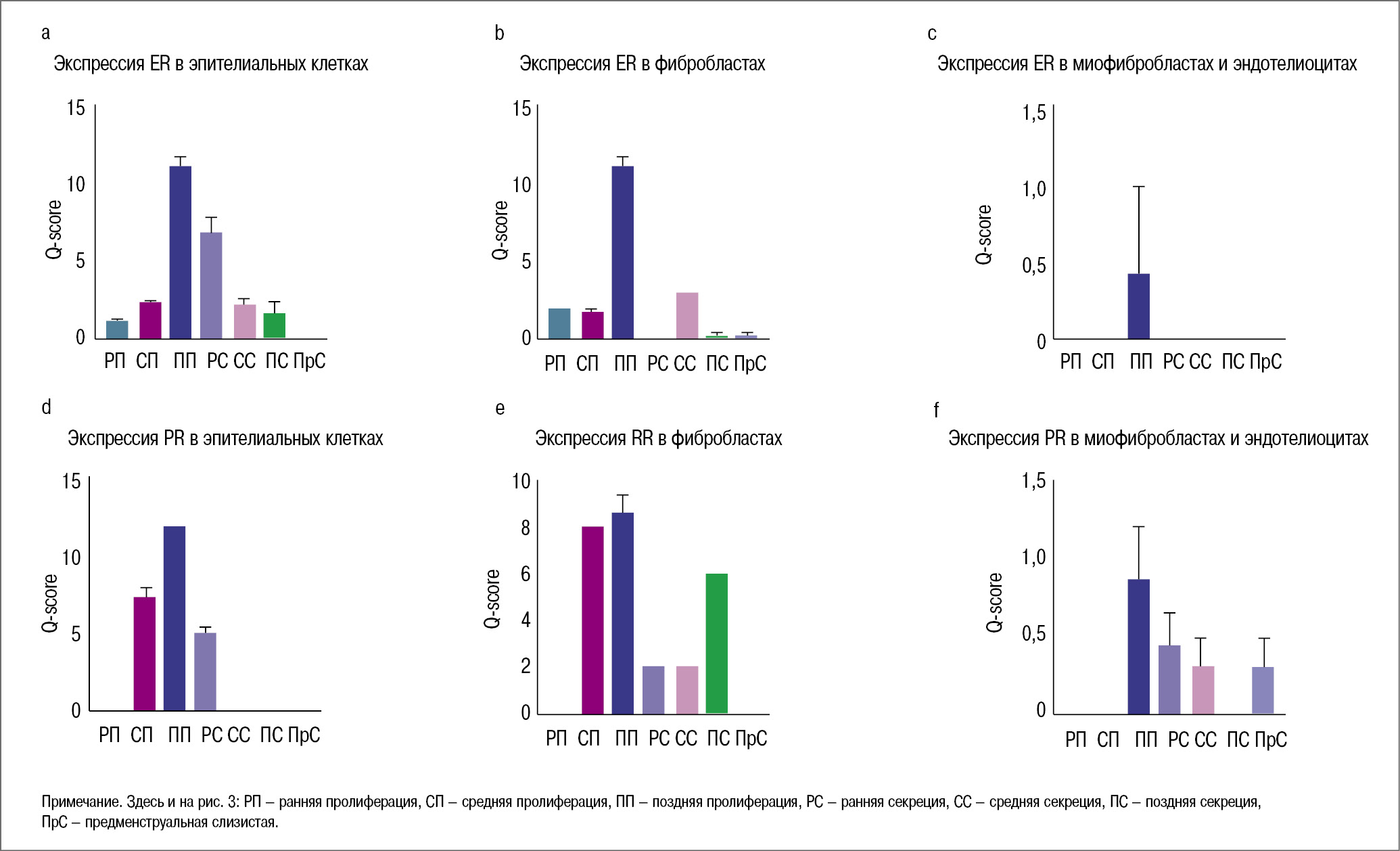
Экспрессия ER в эпителиоцитах эндометрия оказалась наименьшей в стадию ранней пролиферации и наибольшей – в стадию поздней пролиферации, постепенно снижаясь к концу менструального цикла (рис. 1, a). Экспрессия ER в фибробластах была наименьшая в стадию поздней секреции и предменструальной слизистой, достигнув пика в стадию поздней пролиферации. Экспрессия ER в миофибробластах и эндотелиоцитах отмечалась лишь на стадии поздней пролиферации (рис. 1, b, c). Во всех изучаемых популяциях клеток выявлена статистическая значимость различий, полученных в отношении экспрессии ER на разных стадиях менструального цикла (p<0,05). Экспрессия ER в ядрах макрофагов не определялась ни на одной из стадий менструального цикла, однако в некоторых случаях экспрессия ER выявлена в цитоплазме отдельных макрофагов (рис. 2, a).
Рис. 1. Характеристика экспрессии ER (a–c) и PR (d–f) в различных типах клеток эндометрия.
Рис. 2: a – экспрессия ER в цитоплазме отдельных макрофагов (масштабный отрезок – 15 um); b – экспрессия FSHR в макрофагах; c – экспрессия LHR в миофибробластах (масштабный отрезок – 50 um).
Экспрессия PR
Экспрессия рецептора прогестерона PR в эпителиоцитах эндометрия оказалась наименьшей в предменструальной слизистой, достигая максимума в стадию поздней пролиферации (рис. 1, d). Экспрессия PR в фибробластах являлась наименьшей в стадию ранней секреции и наибольшей – в стадии поздней пролиферации. Экспрессия PR в миофибробластах отмечалась на стадии средней и поздней пролиферации и средней секреции, причем максимальных значений данный показатель достигал на стадии поздней пролиферации (рис. 1, e, f). Во всех изучаемых популяциях клеток выявлена статистическая значимость различий, полученных в отношении экспрессии PR на разных стадиях менструального цикла (p<0,05). Слабая экспрессия PR наблюдалась в менее 30% макрофагов на стадии средней пролиферации, стадии ранней секреции и в предменструальном эндометрии, при этом окрашивание локализовалось в цитоплазме клеток.
Экспрессия FSHR
При исследовании эпителиального и стромального компонента эндометрия обнаружена экспрессия FSHR как в клетках эпителия, так и фибробластах, миофибробластах и эндотелиоцитах в пролиферативную и секреторную фазы менструального цикла (рис. 3, a–c). Наиболее выраженная экспрессия во всех исследуемых типах клеток отмечалась в позднюю стадию фазы пролиферации.
Рис. 3. Характеристика экспрессии FSHR (a–c) и LHR (d–f) в разных типах клеток эндометрия в различные стадии менструального цикла.
Экспрессия FSHR на стадии средней пролиферации, стадии поздней пролиферации и стадии средней секреции выявлена в 65, 90 и 90% макрофагов соответственно. Слабая интенсивность экспрессии FSHR в макрофагах отмечалась на стадии средней пролиферации и стадии средней секреции, умеренная интенсивность – на стадии поздней пролиферации (рис. 2, b).
Экспрессия LHR
Экспрессия LHR в эпителиоцитах эндометрия постепенно нарастала со стадии средней пролиферации к стадии ранней секреции и потом постепенно снижалась, достигая минимума в предменструальной слизистой тела матки (рис. 3, d). Экспрессия LHR в фибробластах оказалась наименьшей в стадию ранней секреции, постепенно нарастая к концу менструального цикла. В стадию пролиферации максимальная экспрессия LHR в фибробластах отмечена на стадии поздней пролиферации. Экспрессия LHR в миофибробластах и эндотелиоцитах отмечалась лишь в конце пролиферативной и секреторной фаз менструального цикла (рис. 3, e, f; рис. 2, c). Во всех изучаемых популяциях клеток выявлена статистическая значимость различий, полученных в отношении экспрессии LHR на разных стадиях менструального цикла (p<0,05). Более 90% макрофагов, выявленных на стадиях средней и поздней пролиферации, а также на стадиях ранней и средней секреции отличались позитивной экспрессией LHR, преимущественно с низкой интенсивностью сигнала, на стадии поздней пролиферации этот показатель возрастал до среднего значения.
Обсуждение
Настоящая работа продемонстрировала соответствие между динамикой изменений иммунореактивности изученных рецепторов и структурными особенностями эндометрия в разные стадии менструального цикла. Выявлено, что имеют место инициация возрастания иммунореактивности ER и PR в железах на стадии ранней пролиферации и достижение ее максимального уровня на стадии поздней пролиферации, возникновение увеличения экспрессии ER и PR в строме на стадии ранней пролиферации, пик иммунореактивности ER в среднюю стадии пролиферации, максимальное значение экспрессии PR – в позднюю стадию пролиферации. Такая динамически изменяющаяся экспрессия стероидных гормонов в эндометрии является основополагающим фактором, ответственным за циклический рост эндометрия, процесс его отторжения и регенерации. Во время фолликулярной фазы менструального цикла эстроген, действуя через ER, индуцирует рост слизистой тела матки, способствует ее утолщению [10].
После овуляции наличие прогестерона ингибирует индуцированный эстрогеном рост и способствует трансформации рецептивного статуса эндометрия для имплантации бластоцисты [11].
Следует отметить, что максимальное значение экспрессии ER и PR выявлено в миофибробластах и эндотелиоцитах эндометрия в среднюю стадию секреции, что говорит о регуляции эстрогенами и прогестероном процесса ремоделирования сосудов, происходящего в этот период, о чем свидетельствуют и результаты, полученные в некоторых других исследованиях [12–14].
Важность поддержания баланса между экспрессией ER и PR изучалась и в исследованиях, направленных на изучение причин ненаступления беременности у пациенток, которым планируется применение вспомогательных репродуктивных технологий. Показано, что нарушение рецепторного статуса слизистой оболочки матки при бесплодии связано с нарушением экспрессии PR в железах эндометрия: в фазу пролиферации экспрессия этих рецепторов ниже, чем у фертильных женщин; в фазу секреции – выше [15, 16].
Результаты последних исследований демонстрируют наличие экспрессии FSHR и LHR не только в клетках гранулезы, тека-клетках и лютеиновых клетках яичника соответственно, но и в других клеточных популяциях женской репродуктивной системы. Так, по данным ряда авторов, FSHR и LHR обнаружены в различных структурно-функциональных компонентах матки [4, 5, 17]. Например, зависимая от фазы менструального цикла экспрессия описанных рецепторов выявлена как в железистом, так и в стромальном компоненте эндометрия, что согласуется с результатами нашего исследования. Полученные нами данные также согласуются с данными других авторов, продемонстрировавших положительную реакцию клеток эндотелия сосудов микроциркуляторного русла с FSHR и LHR [5, 18].
В нашей работе колебания полученных значений экспрессии FSHR и LHR в зависимости от фазы менструального цикла практически полностью совпадали с изменениями иммунореактивности ER и PR. Обнаруженное повышение иммунореактивности FSHR и LHR в железах и строме эндометрия средней и поздней стадии пролиферации может свидетельствовать в пользу их содействия в увеличении толщины функционального слоя слизистой оболочки тела матки. Необходимо также отметить, что присутствие экспрессии FSHR и LHR во всех изученных компонентах эндометрия в среднюю стадию секреции, вероятно, связано с децидуализацией стромы эндометрия и формированием благоприятных условий для развития плаценты, следующими за имплантацией бластоцисты. В пользу этого свидетельствует ряд работ, установивших, что стимуляция описанных рецепторов способствовала развитию децидуального фенотипа клеток стромы эндометрия in vitro [5, 19]. Так, A. Das и соавт. в своем исследовании показали, что в результате связывания фолликулостимулирующего гормона с его рецептором, присутствующим в эндометрии, происходит активация ароматазы, которая, в свою очередь, способствует локальной выработке эстрогенов. Последние регулируют экспрессию белков, способствующих децидуальной трансформации стромальных клеток и укреплению межщелевых контактов между ними. Кроме того, локально секретируемые эстрогены стимулируют экспрессию транскрипционного фактора HIF2a, контролирующего синтез сосудистого эндотелиального фактора роста VEGF, обеспечивающего ремоделирование сосудов и формирование новой кровеносной сети, необходимых для полноценного роста и развития эмбриона на ранних сроках беременности [20]. Одновременно с этим существуют научные работы, демонстрирующие развитие аденомиоза, эндометриоза и лейомиомы матки в процессе активации ароматазы и изменения локального биосинтеза эстрогенов [21–23].
В настоящее время обнаружено, что эндометриальные макрофаги принимают участие в регенерации ткани после менструации, секреторной трансформации слизистой оболочки тела матки, предшествующей имплантации, инициации менструального отторжения эндометрия и фагоцитарного клиренса остатков эндометрия после менструации [24, 25]. Результаты настоящей работы также подтверждают существенную роль макрофагов в эндометрии, поскольку иммунореактивность всех изученных рецепторов визуализировалась на протяжении менструального цикла. Кроме того, экспрессия разных маркеров наблюдалась в различные периоды менструального цикла, позволяя предположить регуляцию стероидными и гонадотропными гормонами функционирования макрофагов.
Заключение
Таким образом, настоящая работа продемонстрировала соответствие между динамикой изменений иммунореактивности изученных рецепторов и структурными особенностями эндометрия в разные стадии менструального цикла. Показано, что увеличение экспрессии ER, PR, FSHR и LHR в эндометрии женщины в среднюю и позднюю стадии пролиферации совпадает с периодом роста слизистой тела матки, повышенная иммунореактивность PR в строме на протяжении фазы секреции связана с децидуализацией эндометрия, способствующей успешной последующей имплантации, увеличенная экспрессия FSHR и LHR в железах и строме в среднюю стадию секреции ассоциирована с децидуальной трансформацией слизистой тела матки и, по- видимому, с созданием условий для полноценного развития эмбриона в случае наступления беременности.
Раскрытие интересов. Авторы декларируют отсутствие явных и потенциальных конфликтов интересов, связанных с публикацией настоящей статьи.
Disclosure of interest. The authors declare that they have no competing interests.
Вклад авторов. Авторы декларируют соответствие своего авторства международным критериям ICMJE. А.С. Магнаева – сбор и обработка материала; А.В. Трегубова – сбор и обработка материала; А.А. Цитрина – концепция и дизайн исследования, сбор и обработка материала, написание текста; А.В. Асатурова – сбор и обработка материала, редактирование; М.В. Шамаракова – концепция и дизайн исследования, написание текста; Г.И. Табеева – редактирование; Л.С. Ежова – редактирование; Е.А. Калинина – редактирование; В.К. Боженко – редактирование.
Authors’ contribution. The authors declare the compliance of their authorship according to the international ICMJE criteria. AS Magnaeva – сollected the data and performed the analysis; AV Tregubova – сollected the data and performed the analysis; AA Tsitrinа – сonceived the study and designed the experiment, сollected the data and performed the analysis, wrote the paper; AV Asaturova – сollected the data and performed the analysis, edited the manuscript; MV Shamarakova – сonceived the study and designed the experiment, wrote the paper; GI Tabeeva – edited the manuscript; LS Ezhova – edited the manuscript; EA Kalinina – edited the manuscript; VK Bozhenko – edited the manuscript.
Госзадание
Источник финансирования. Исследование поддержано Правительством РФ. Работа выполнена в рамках государственного задания ФГБУ «НМИЦ АГП им. акад. В.И. Кулакова» (№122020900122-7) и при финансовой поддержке гранта РФФИ №16-29-07434.
Funding source. The study was supported by the Governmental. The study was carried out within the framework of State Assignment to Kulakov National Medical Research Center for Obstetrics, Gynecology and Perinatology (№122020900122-7) and was supported by the Russian Foundation for Basic Research, Project №16-29-07434.
About the authors
Alina S. Magnaeva
Kulakov National Medical Research Center for Obstetrics, Gynecology and Perinatology
Email: a.asaturova@gmail.com
ORCID iD: 0000-0001-5223-9767
Res. Assist.
Russian Federation, MoscowAnna V. Tregubova
Kulakov National Medical Research Center for Obstetrics, Gynecology and Perinatology
Email: a.asaturova@gmail.com
ORCID iD: 0000-0003-4601-1330
Res. Assist.
Russian Federation, MoscowAlexandra A. Tsitrina
Koltzov Institute of Developmental Biology
Email: a.asaturova@gmail.com
ORCID iD: 0000-0002-2827-9993
Res. Officer
Russian Federation, MoscowAlexandra V. Asaturova
Kulakov National Medical Research Center for Obstetrics, Gynecology and Perinatology
Author for correspondence.
Email: a.asaturova@gmail.com
ORCID iD: 0000-0001-8739-5209
D. Sci. (Med.)
Russian Federation, MoscowMarina V. Shamarakova
Kulakov National Medical Research Center for Obstetrics, Gynecology and Perinatology
Email: a.asaturova@gmail.com
ORCID iD: 0000-0002-0972-4350
Cand. Sci. (Med.)
Russian Federation, MoscowGuzal I. Tabeeva
Kulakov National Medical Research Center for Obstetrics, Gynecology and Perinatology
Email: a.asaturova@gmail.com
ORCID iD: 0000-0003-1498-6520
Cand. Sci. (Med.)
Russian Federation, MoscowLarisa S. Ezhova
Kulakov National Medical Research Center for Obstetrics, Gynecology and Perinatology
Email: a.asaturova@gmail.com
ORCID iD: 0000-0002-9804-8349
Cand. Sci. (Med.)
Russian Federation, MoscowElena A. Kalinina
Kulakov National Medical Research Center for Obstetrics, Gynecology and Perinatology
Email: a.asaturova@gmail.com
ORCID iD: 0000-0002-8922-2878
D. Sci. (Med.)
Russian Federation, MoscowVladimir K. Bozhenko
Russian Scientific Center of Roentgenoradiology
Email: a.asaturova@gmail.com
ORCID iD: 0000-0001-8351-8152
D. Sci. (Med.)
Russian Federation, MoscowReferences
- Lu J, Kong S, Wang H. Uterine Receptivity: The Status of Uterus for Implantation, Ed. MK Skinner. Encyclopedia of Reproduction (Second Edition), Academic Press, 2018; p. 394-99. doi: 10.1016/B978-0-12-801238-3.64660-3
- Cai H, Tian L, Wang H, Shi J. Is hormone replacement for endometrial preparation associated with pregnancy loss in frozen-thawed single-blastocyst transfer cycles. Int J Gynaecol Obstet. 2022;157(2):480-1. doi: 10.1002/ijgo.14054
- Rall K, Barresi G, Wallwiener D, et al. Uterine rudiments in patients with Mayer–Rokitansky–Küster–Hauser syndrome consist of typical uterine tissue types with predominantly basalis-like endometrium. Fertil Steril. 2013;99(5):1392-9. doi: 10.1016/j.fertnstert.2012.12.002
- Marquardt RM, Kim TH, Shin JH, Jeong JW. Progesterone and estrogen signaling in the endometrium: What goes wrong in endometriosis? Int J Mol Sci. 2019;20(15):3822. doi: 10.3390/ijms20153822
- Chrusciel M, Ponikwicka-Tyszko D, Wolczynski S, et al. Extragonadal FSHR Expression and Function-Is It Real? Front Endocrinol (Lausanne). 2019;10:32. doi: 10.3389/fendo.2019.00032
- Fagerberg L, Hallström BM, Oksvold P, et al. Analysis of the human tissue-specific expression by genome-wide integration of transcriptomics and antibody-based proteomics. Mol Cell Proteomics. 2014;13(2):397-406. doi: 10.1074/mcp.M113.035600
- Shimizu K, Nakamura T, Bayasula, et al. Molecular mechanism of FSHR expression induced by BMP15 in human granulosa cells. J Assist Reprod Genet. 2019;36(6):1185-94. doi: 10.1007/s10815-019-01469-y
- Roy N, Mascolo E, Lazzaretti C, et al. Endocrine disruption of the follicle-stimulating hormone receptor signaling during the human antral follicle growth. Front Endocrinol (Lausanne). 2021;12:791763. doi: 10.3389/fendo.2021.791763
- Remmele W, Stegner HE. Vorschlag zur einheitlichen Definition eines Immunreaktiven Score (IRS) für den immunhistochemischen Ostrogenrezeptor-Nachweis (ER-ICA) im Mammakarzinomgewebe [Recommendation for uniform definition of an immunoreactive score (IRS) for immunohistochemical estrogen receptor detection (ER-ICA) in breast cancer tissue]. Pathologe. 1987;8(3):138-40.
- Klonos E, Katopodis P, Karteris E, et al. Endometrial changes in estrogen and progesterone receptor expression during implantation in an oocyte donation program. Exp Ther Med. 2020;20:178. doi: 10.3892/etm.2020.9308
- Yu K, Huang ZY, Xu XL, et al. Estrogen Receptor Function: Impact on the Human Endometrium. Front Endocrinol (Lausanne). 2022;13:827724. doi: 10.3389/fendo.2022.827724
- Mandalà M. Influence of Estrogens on Uterine Vascular Adaptation in Normal and Preeclamptic Pregnancies. Int J Mol Sci. 2020;21(7):2592. doi: 10.3390/ijms21072592
- Chen DB, Magness RR. Vascular smooth muscle cells during spiral artery remodeling in early human pregnancy†. Biol Reprod. 2021;104(2):252-4. doi: 10.1093/biolre/ioaa220
- Critchley HOD, Maybin JA, Armstrong GM, Williams ARW. Physiology of the Endometrium and Regulation of Menstruation. Physiol Rev. 2020;100(3):1149-79. doi: 10.1152/physrev.00031.2019
- Ganesh V, Venkatesan V, Koshy T, et al. Association of estrogen, progesterone and follicle stimulating hormone receptor polymorphisms with in vitro fertilization outcomes. Syst Biol Reprod Med. 2018;64(4):260-5. doi: 10.1080/19396368.2018.1482030
- Čuš M, Vlaisavljević V, Repnik K, et al. Could polymorphisms of some hormonal receptor genes, involved in folliculogenesis help in predicting patient response to controlled ovarian stimulation? J Assist Reprod Genet. 2019;36(1):47-55. doi: 10.1007/s10815-018-1357-4
- Rao CV. Récepteurs à la LH: follicule et endomètre [LH receptors: follicle and endometrium]. J Gynecol Obstet Biol Reprod (Paris). 2002;31(2 Pt 2):1S7-11.
- Robin B, Planeix F, Sastre-Garau X, et al. Follicle-stimulating hormone receptor expression in endometriotic lesions and the associated vasculature: an immunohistochemical study. Reprod Sci. 2016;23:885-91. doi: 10.1177/1933719115623647
- Ponikwicka-Tyszko D, Chrusciel M, Stelmaszewska J, et al. Functional expression of FSH receptor in endometriotic lesions. J Clin Endocrinol Metab. 2016;101:2905-14. doi: 10.1210/jc.2016-1014
- Das A, Mantena SR, Kannan A, et al. De novo synthesis of estrogen in pregnant uterus is critical for stromal decidualization and angiogenesis. Proc Natl Acad Sci U S A. 2009;106(30):12542-7. doi: 10.1073/pnas.0901647106
- Huhtinen K, Saloniemi-Heinonen T, Keski-Rahkonen P, et al. Intra-tissue steroid profiling indicates differential progesterone and testosterone metabolism in the endometrium and endometriosis lesions. J Clin Endocrinol Metab. 2014;99(11):E2188-97. doi: 10.1210/JC.2014-1913
- Robin B, Planeix F, Sastre-Garau X, et al. Follicle-stimulating hormone receptor expression in endometriotic lesions and the associated vasculature: An immunohistochemical study. Reprod Sci. 2016;23(7):885-91. doi: 10.1177/1933719115623647
- Иванов И.И., Гордиенко Ю.В., Попова-Петросян Е.В., и др. Особенности рецепторного аппарата простой и пролиферирующей миомы матки. Медицинский вестник Северного Кавказа. 2021;4(16):391-5 [Ivanov II, Gordienko YV, Popova-Petrosyan EV, et al. Features of the receptor apparatus of simple and prolifering uterine myoma. Medical News of the North Caucasus. 2021;4(16):391-5 (in Russian)]. doi: 10.14300/mnnc.2021.16093
- Qi Y, Ning F, Lash GE. Chapter 3 – Uterine macrophages: Essential roles for a successful human pregnancy. Reproductive Immunology. 2021:39-53. doi: 10.1016/B978-0-12-818508-7.00008-7
- Thiruchelvam U, Dransfield I, Saunders PT, Critchley HO. The importance of the macrophage within the human endometrium. J Leukoc Biol. 2013;93(2):217-25. doi: 10.1189/jlb.0712327
Supplementary files






