A predictive model to calculate the probability of placental abruption in patients with initially low obstetric risk
- 作者: Frolova N.I.1, Belokrinitskaya T.E.1
-
隶属关系:
- Nataly I. Frolova, Tatiana E. Belokrinitskaya Chita State Medical Academy
- 期: 卷 22, 编号 4 (2020)
- 页面: 6-10
- 栏目: ORIGINAL ARTICLE
- ##submission.datePublished##: 10.09.2020
- URL: https://gynecology.orscience.ru/2079-5831/article/view/43864
- DOI: https://doi.org/10.26442/20795696.2020.4.200150
- ID: 43864
如何引用文章
全文:
详细
Aim. To develop a predictive model to calculate the probability of placental abruption development in patients with initially low obstetric risk by using a multidimensional mathematical analysis of anamnestic, clinical, and genetic data.
Materials and methods. This logistic model is based on 212 observations. This study included two groups of healthy women aged 18–35 years without a history of spontaneous abortion, preterm labor, stillbirth, preeclampsia, or other complications. The first group was comprised of 112 women with a history of a placental abruption (patient group), and the second group consisted of 100 women with non-complicated pregnancy (control group). Gene polymorphisms were detected using the polymerase chain reaction-real time technique. The data was analyzed using binary and multifactorial statistical mathematics. Our analysis of the predictive models was performed by using logistic regression. To determine the diagnostic value of the predictive models used, the ROC-curve is followed by determining the area under it (AUC).
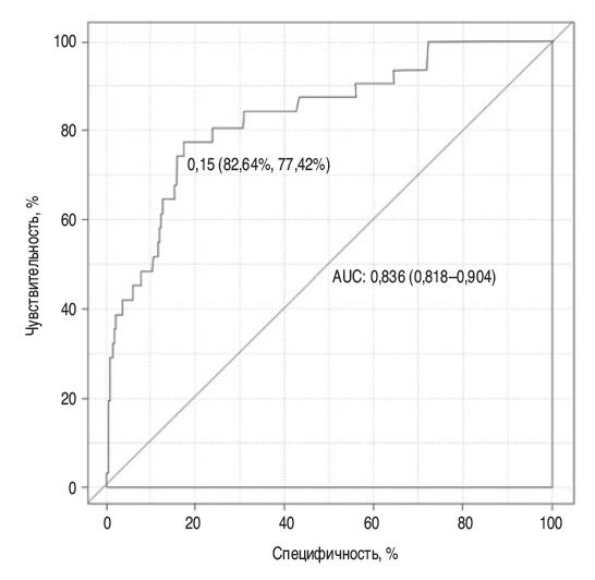
Results. The 24 anamnestic, clinical, and genotypic characteristics were examined as placental abruption predictors using multifactorial analysis. We were able to determine what the nine most informative predictors of placental abruption were according to Wald Chi-Square criteria (÷2, р): fetal growth restriction (13.143; р<0.001), placental insufficiency (9.629; р=0.002), male sex of the fetus (6.965; р=0.008), preeclampsia (6.779; р=0.009), combination of genotypes PAI-1-5G4G/FV-1691GA (6.613; р=0.010) or PAI-1-5G4G/MTHFR-677CT (6.158; р=0.013), pathology of amnion (4.497; р=0.034), infectious diseases in pregnancy (4.277; р=0.039), tobacco smoking (3.963; р=0.047). ROC analysis identified a high specificity (82.64%) and sensitivity (77.42%) of the model, and the integral index of the effectiveness of predictive markers (AUC=0.836), according to the expert scale of values which is indicative of a very high quality model.
Conclusion. It is recommended to use this elaborated predictive model in clinical practice for the purpose of individual risk assessment of placental abruption in healthy patients with initially low obstetric risk.
全文:
Основными принципами современного здравоохранения в области охраны материнства и детства являются рискориентированный подход к ведению беременной и предупреждение репродуктивных потерь. Эксперты Организации Объединенных Наций (2000 г.), Всемирной организации здравоохранения (2014, 2015 г.), Минздрава России (2018 г.) обращают особое внимание на ликвидацию предотвратимой материнской смертности [1–3]. Целью реализации Глобальной стратегии охраны здоровья женщин Всемирной организации здравоохранения к 2030 г. является ликвидация предотвратимых случаев материнской смертности, 52% которых вызваны тремя предотвратимыми причинами – кровотечением, сепсисом и гипертензией [2]. По данным официальной статистики, в 2018 г. в России предотвратимыми причинами было обусловлено 40,3% случаев гибели матерей: кровотечением – 18,6%, сепсисом – 12,4%, гипертензией – 9,3% [3].
Согласно сведениям Росстата (2018 г.), основная демографическая нагрузка в процессах воспроизводства населения России приходится на женщин молодого фертильного возраста 18–35 лет. Анализ структуры критических акушерских состояний (near miss) и материнской смертности в Забайкальском крае за 2014–2018 гг. в зависимости от возраста установил, что у матерей 18–35 лет относительный шанс возникновения критического состояния near miss был значимо выше, чем у 35–45-летних (отношение шансов – ОШ 16,7; 95% доверительный интервал – ДИ 8,66–32,36), а риск летального исхода, напротив, выше у матерей старше 35 лет (ОШ 2,7; 95% ДИ 1,10–7,48). При этом у пациенток молодой возрастной группы в сравнении с женщинами старше 35 лет выявлен повышенный риск развития near miss в связи с акушерскими кровотечениями (45,6% vs 13,6%; ОШ 5,3; 95% ДИ 1,46–19,18), преждевременная отслойка нормально расположенной плаценты (ПОНРП) в сроки 24–39 нед занимала 2-е ранговое место после преэклампсии среди ведущих причин near miss и в 64,2% случаев осложнение возникло у беременных исходно низкой степени акушерского риска [4]. Современными исследованиями Y. Li и соавт. (2019 г.) показано, что в 24% случаев причина преждевременной отслойки плаценты остается невыясненной [5].
Цель исследования – на основе многофакторного анализа анамнестических, клинических и генетических данных разработать модель прогнозирования ПОНРП у матерей молодого детородного возраста, имеющих исходно низкую степень акушерского риска.
Материалы и методы
Данное исследование было одобрено этическим комитетом Читинской государственной медицинской академии (протокол №64 от 23 июня 2014 г.).
Для реализации цели исследования и построения модели прогнозирования ПОНРП были проанализированы клинико-анамнестические и лабораторные данные 112 соматически здоровых пациенток 18–35 лет с подтвержденной ПОНРП в сроки 24–39 нед гестации и 100 женщин с неосложненной беременностью, сопоставимых по возрасту, социальному статусу, паритету, анамнезу соматических заболеваний, родоразрешенных в ГБУЗ «Забайкальский краевой перинатальный центр» г. Читы (главный врач – Е.Н. Агафонова).
Критерии включения в исследование: возраст матери от 18 до 35 лет, спонтанная одноплодная беременность, индекс массы тела менее 35 кг/м2 в I триместре гестации, отсутствие экстрагенитальных заболеваний и осложненного акушерского анамнеза (выкидышей, преэклампсии, преждевременных родов, мертворождений и т.п.).
Диагноз «преждевременная отслойка плаценты» (Международная классификация болезней 10-го пересмотра – МКБ-10 O45) основывался на клинико-анамнестических данных, ультразвуковом исследовании (УЗИ) с допплерографией [6] и после родов во всех случаях был верифицирован визуально и подтвержден патоморфологическим исследованием.
Генотипирование для выявления интересующих нас полиморфизмов проведено на ДНК, полученной из лейкоцитов периферической крови («Проба-РАПИД генетика», ЗАО «НПФ ДНК-Технология», Москва). В качестве метода использована полимеразная цепная реакция с детекцией продукта амплификации в режиме реального времени (амплификатор ДТ-96, ЗАО «НПФ ДНК-Технология», Москва) с использованием комплектов реагентов «КардиоГенетика тромбофилия», «Генетика метаболизма фолатов» (ЗАО «НПФ ДНК-Технология», Москва). Генетические исследования выполнены в НИИ молекулярной медицины Читинской государственной медицинской академии (директор института – профессор Ю.А. Витковский). Частоты генотипов обследованных пациенток проверяли на соответствие закону Харди–Вайнберга.
Статистическая обработка результатов произведена с помощью пакета программ Statistica 10 на кафедре высшей математики Забайкальского института железнодорожного транспорта (доцент кафедры – кандидат физико-математических наук Л.Г. Гомбоев). Для оценки вклада отдельных предикторов в развитие отслойки плаценты использовали метод логистической регрессии [7]. При оценке уравнений регрессии использовали метод поэтапного включения и исключения предикторов, который ранжирует признаки в соответствии с их вкладом в модель. Относительный вклад отдельных предикторов определяли на основе статистики Вальда (Wald Chi-Square, ÷2) и стандартизованного коэффициента регрессии (Standardized Estimate). В качестве критерия согласия реального распределения наблюдений по отдельным градациям признака «преждевременная отслойка плаценты» и прогноза на основе уравнения логистической регрессии использовали процент правильной переклассификации (Concordant), а также величину коэффициента связи D-Зоммера (Somers’D). Было получено около 50 уравнений логистической регрессии, из которых производился отбор уравнений, имевших самые высокие значения (более 80%) этого показателя. Прогностическую способность модели оценивали методом ROC-анализа по величине площади под кривой (AUC) с 95% ДИ с учетом стандартной ошибки (SE). Интерпретация показателя AUC проводилась по экспертной шкале, согласно которой при значении, находящемся в пределах интервала 0,9–1,0, качество модели оценивалось как отличное; 0,8–0,9 – очень хорошее; 0,7–0,8 – хорошее; 0,6–0,7 – среднее; 0,5–0,6 – неудовлетворительное [8].
Результаты и обсуждение
С целью выявления предикторов ПОНРП выполнено когортное проспективное и ретроспективное исследование и сформирована база 24 клинико-лабораторных показателей, характеризующих анамнестические и клинические данные пациенток (группа исследования и группа сравнения). Порядок включения переменных, имеющих наибольшее значение, с указанием процента верного предсказания на каждом этапе позволил проанализировать динамику предсказательной ценности отобранных признаков.
На первом этапе работы построена матрица коэффициентов непараметрической корреляции, исследование которой и сравнение по модулю коэффициентов для предикторов, вошедших в уравнение, позволили выделить девять значимых признаков, взаимосвязанных с зависимой переменной «преждевременная отслойка плаценты». В таблице представлены в порядке убывания основные предикторы, которые, согласно полученной модели, определяли степень риска отслойки плаценты у молодых соматически здоровых матерей, не имеющих отягощенного акушерского анамнеза.
Параметры уравнений логистического регрессионного анализа для зависимой переменной «преждевременная отслойка плаценты» Parameters of equations in logistic regression analysis for the “placental abruption” dependent variable | |||||
Переменные (предикторы) | Коэффициент b | Стандартная ошибка | Критерий Вальда χ2 | p (χ2) | SE |
Константа (Intercept) | -2,967 | 0,931 | 10,155 | 0,001** | |
Задержка роста плода | 1,538 | 0,424 | 13,143 | 0,000*** | 0,601 |
Плацентарные нарушения (УЗИ, допплер) | 1,843 | 0,594 | 9,629 | 0,002** | 0,509 |
Плод мужского пола | -1,525 | 0,578 | 6,965 | 0,008** | -0,419 |
Преэклампсия | -1,696 | 0,651 | 6,779 | 0,009** | -0,412 |
Сочетание генотипов PAI-1-5G4G и FV-1691GA | -0,459 | 0,179 | 6,613 | 0,010** | -0,295 |
Сочетание генотипов PAI-1-5G4G и MTHFR-677CT | 0,204 | 0,081 | 6,158 | 0,013* | 0,401 |
Патология амниона | -1,605 | 0,757 | 4,497 | 0,034* | -0,316 |
Инфекционные процессы при беременности | 1,227 | 0,593 | 4,277 | 0,039* | 0,319 |
Табакокурение | -0,949 | 0,477 | 3,963 | 0,047* | -0,255 |
*p<0,05; **p<0,01; ***p<0,001. | |||||
Наибольший вклад в зависимую переменную «преждевременная отслойка плаценты» продемонстрировали независимые предикторы «задержка роста плода» (МКБ-10 O36.5; P05; критерий Вальда 13,143, р<0,001) и «плацентарные нарушения» (МКБ-10 O43.8; O43.9; критерий Вальда 9,629, р=0,002). Предиктор «плацентарные нарушения» означал структурные изменения плаценты и признаки ее несоответствия гестационному сроку по данным УЗИ, а также нарушения маточно-плацентарного кровотока по данным ультразвуковой допплерографии [6]. Практически одинаково предопределяли развитие преждевременной отслойки плаценты факторы «плод мужского пола» (критерий Вальда 6,965, р=0,008), «преэклампсия» (критерий Вальда 6,779, р=0,009), «сочетание генотипов PAI-1-5G4G и FV-1691GA» (критерий Вальда 6,613, р=0,010), «сочетание генотипов PAI-1-5G4G и MTHFR-677CT» (критерий Вальда 6,158, р=0,013). Далее в порядке ранжирования следовали «патология амниона» (МКБ-10 O40; критерий Вальда 4,497, р=0,034) и «инфекционные процессы при беременности» (критерий Вальда 4,277, р=0,039). Отметим, что переменная «патология амниона» включала и многоводие (МКБ-10 O40), и маловодие (МКБ-10 O41.0), а критериями отнесения в группу «инфекционные процессы при беременности» были системные и/или локальные инфекционно-воспалительные процессы при беременности, преждевременный разрыв плодных оболочек с безводным промежутком более 12 ч. Наименьший вклад среди отобранных предикторов внесла независимая переменная «табакокурение» (критерий Вальда 3,963, р=0,047).
На основании значимости изложенных параметров построена математическая модель, основанная на методе логистической регрессии, и разработан способ прогнозирования вероятности развития ПОНРП по уравнению:
p=1/1+ехр(-b),
где b=b0+b1¥х1+b2¥х2+…b9¥х9,
где bi – коэффициент регрессии для соответствующих предикторов (х).
В результате выполненного анализа переменных факторов риска развития с зависимой переменной «преждевременная отслойка плаценты» построена ROC-кривая (см. рисунок). Величина процента согласия (Percent Concordant) по уравнению логистической регрессии составила 82%, что отражает правильность выбора модели. Показатель коэффициента D-Зоммера (Somers’D) составил 0,64 и свидетельствует о наличии сильной связи исследуемых переменных. Показатель АUС, выражающий численное значение клинической значимости построенной модели, составил 0,836 и характеризовал по экспертной шкале качество модели как «очень хорошее» [8]. Чувствительность используемой логистической функции, определяемая как доля правильно предсказанных случаев ПОНРП, составила 77,42%. Специфичность модели, соответствующая доле верных прогнозов об отсутствии ПОНРП, составила 82,64%.
ROC-анализ для оценки вероятности прогнозирования ПОНРП по разработанной логистической модели.
Таким образом, проведенный нами математический анализ подтвердил сведения современной литературы о высоком риске развития ПОНРП при задержке роста плода, преэклампсии [9].
Переменные «патология амниона» и «инфекционные процессы при беременности» являлись предикторами преждевременной отслойки плаценты, что можно связать с развитием воспаления и опосредованных им реакций. Так, Л.П. Перетятко, Т.В. Стороженко (2014 г.) на основании результатов сравнительного комплексного клинико-морфологического исследования последов от преждевременных родов, возникших на фоне типичной клинической картины ПОНРП, сделали заключение, что в патогенезе этих осложнений беременности доминирующим этиологическим фактором является воспаление [10]. Виллузит сопровождается количественным увеличением гранулированных форм лейкоцитов и макрофагов с активацией в них провоспалительных цитокинов, приводящих к массивной деструкции и отторжению некротизированных микроворсинок, к реологическим нарушениям в материнском кровотоке с расстройствами маточного и плацентарного кровообращения. При воспалении в базальной пластинке повышается порозность сосудов, приводящая к диапедезу эритроцитов и формированию изначально диапедезных кровоизлияний. По мере прогрессирования процесса кровоизлияния увеличиваются по площади, формируя расслаивающие базальную пластинку гематомы, – развивается классическая клинико-морфологическая картина ПОНРП.
Адекватная гестационная перестройка системы гемостаза и ремоделирование спиральных артерий матки обеспечивают полноценное плацентарное кровообращение [11–14]. Согласно современным представлениям, в основе развития больших акушерских синдромов, в том числе ПОНРП, преждевременных родов, преэклампсии, задержки роста и антенатальной гибели плода и др., лежат расстройства маточно-плацентарной микроциркуляции и морфофункциональные нарушения плаценты [13, 14]. Результаты проведенного нами математического анализа подтвердили эти данные: установлена предиктивная роль плацентарной недостаточности (р=0,002) и задержки роста плода (р=0,000) для ПОНРП в сроки 24–39 нед беременности у женщин 18–35 лет.
Существует мнение, что гипофибринолиз, обусловленный носительством гетерозиготных и гомозиготных генотипов PAI-1-5G>4G (-5G4G; -4G4G), может выступать дополнительным тромбогенным фактором развития хронических и острых нарушений кровотока в спиральных артериях матки и в маточно-плацентарном бассейне [15]. Нами установлено, что молекулярными предикторами развития ПОНРП у здоровых матерей 18–35 лет являются комбинации генетических полиморфизмов PAI-1-5G4G и FV-1691GA или PAI-1-5G4G и MTHFR-677CT. В.С. Баранов (2009 г.), D. Dłuski и соавт. (2018 г.) показали ассоциацию полиморфизмов FV-1691G>A и MTHFR-677C>T с ПОНРП [16, 17]. Принципиально важно, что при сочетании указанных полиморфизмов срабатывает эффект накопления: гомозиготность по одному функционально неполноценному аллелю является фактором повышенного риска осложнений беременности, вместе с тем присутствие двух и более неблагоприятных аллелей полиморфизма разных генов в гетерозиготном состоянии может увеличить вероятность развития данного осложнения [16, 18].
При анализе полученной матрицы мы обнаружили, что плод мужского пола является фактором риска ПОНРП. Аналогичное заключение сделали S. Räisänen и соавт. (2013 г.) на основе анализа 1 162 126 родов, однако объяснений этому факту в настоящее время нет [9].
Курение матери оказалось статистически значимым предиктором для риска развития ПОНРП, что совпадает с данными других источников [19–21]. Известно, что при курении на организм оказывает влияние комплекс вредных химических веществ (никотин, угарный газ, формальдегиды, бензпирен и др.), которые оказывают системное повреждающее действие на тканевом и клеточном уровне, в том числе негативно влияют на сосудистый эндотелий, вызывая тяжелые нарушения микроциркуляции и гемодинамики, включая систему «мать–плацента–плод» [20, 22]. Наименьший вклад предиктора «табакокурение» (р=0,047) в развитие изучаемого осложнения беременности можно объяснить молодым возрастом включенных в наше исследование матерей и отсутствием у них соматической патологии.
Заключение
Используя метод логистического регрессионного анализа, мы установили значимые анамнестические и клинико-лабораторные предикторы зависимой переменной ПОНРП у беременных в сроки 24–39 нед гестации. Разработанную прогностическую модель целесообразно использовать в акушерско-гинекологической практике для индивидуального прогнозирования риска развития отслойки плаценты у соматически здоровых матерей молодого детородного возраста с исходно низкой степенью акушерского риска.
作者简介
Nataly Frolova
Nataly I. Frolova, Tatiana E. Belokrinitskaya Chita State Medical Academy
Email: taasyaa@mail.ru
ORCID iD: 0000-0002-7433-6012
Cand. Sci. (Med.), Chita State Medical Academy
俄罗斯联邦, ChitaTatiana Belokrinitskaya
Nataly I. Frolova, Tatiana E. Belokrinitskaya Chita State Medical Academy
编辑信件的主要联系方式.
Email: tanbell24@mail.ru
ORCID iD: 0000-0002-5447-4223
D. Sci. (Med.), Prof., Chita State Medical Academy
俄罗斯联邦, Chita参考
- Strategies toward ending preventable maternal mortality (EPMM). World Health Organization. Geneva, 2015. https://www.who.int/reproductivehealth/publications/maternal_perinatal_health/epmm-references/en/
- The Global Strategy for Women’s, Children’s and Adolescents’ Health, 2016–2030. New York: United Nations; 2015. https://www.who.int/ pmnch/media/events/2015/gs_2016_30.pdf?ua=1
- Материнская смертность в Российской Федерации в 2018 году. Методическое письмо Минздрава России от 18.09.2019 №15-4/и/2-8714. [Materinskaia smertnost’ v Rossiiskoi Federatsii v 2018 godu. Metodicheskoe pis’mo Minzdrava Rossii ot 18.09.2019 №15-4/i/2-8714 (in Russian).]
- Белокриницкая Т.Е., Фролова Н.И., Иозефсон С.А., Колмакова К.А. Структура критических акушерских состояний и материнской смертности у пациенток раннего и позднего репродуктивного возраста. Практическая медицина. 2019; 17 (4): 32–6. doi: 10.32000/2072-1757-2019-4-32-36 [Belokrinitskaia T.E., Frolova N.I., Iozefson S.A., Kolmakova K.A. Struktura kriticheskikh akusherskikh sostoianii i materinskoi smertnosti u patsientok rannego i pozdnego reproduktivnogo vozrasta. Prakticheskaia meditsina. 2019; 17 (4): 32–6. doi: 10.32000/2072-1757-2019-4-32-36 (in Russian).]
- Li Y, Tian Y, Liu N et al. Analysis of 62 placental abruption cases: Risk factors and clinical outcomes. Taiwan J Obstet Gynecol 2019; 58 (2): 223–6. doi: 10.1016/j.tjog.2019.01.010
- Порядок оказания медицинской помощи по профилю «акушерство и гинекология (за исключением использования вспомогательных репродуктивных технологий)». Приказ Минздрава России №572н от 12.11.2012; в ред. от 2016 г. [Poriadok okazaniia meditsinskoi pomoshchi po profiliu «akusherstvo i ginekologiia (za iskliucheniem ispol’zovaniia vspomogatel’nykh reproduktivnykh tekhnologii)». Prikaz Minzdrava Rossii №572n ot 12.11.2012; v red. ot 2016 g (in Russian).]
- Ланг Т.А., Сесик М. Как описывать статистику в медицине. Аннотированное руководство для авторов, редакторов и рецензентов. М.: Практическая медицина, 2011. [Lang TA, Sesik M. How to describe the statistics in medicine. Moscow: Prakticheskaja medicina, 2011 (in Russian).]
- Hernandez-Orallo J. ROC curves for regression. Pattern Recognition 2013; 46 (12): 3395–411.
- Räisänen S, Gissler M, Nielsen HS et al. Social disparity affects the incidence of placental abruption among multiparous but not nulliparous women: a register-based analysis of 1,162,126 singleton births. Eur J Obstet Gynecol Reprod Biol 2013; 171 (2): 246–51. doi: 10.1016/j.ejogrb.2013.09.009
- Перетятко Л.П., Стороженко Т.В., Курганова Е.А., Назаров С.Б. Преждевременная отслойка нормально расположенной плаценты: морфология и морфометрические параметры структурных компонентов базальной децидуальной оболочки. Морфологические ведомости. 2014; 2: 55–63. [Peretiatko L.P., Storozhenko T.V., Kurganova E.A., Nazarov S.B. Prezhdevremennaia otsloika normal’no raspolozhennoi platsenty: morfologiia i morfometricheskie parametry strukturnykh komponentov bazal’noi detsidual’noi obolochki. Morfologicheskie vedomosti. 2014; 2: 55–63 (in Russian).]
- Белокриницкая Т.Е., Чарторижская Н.Н., Казанцева Е.В., Фролова Н.И. Фетоплацентарная недостаточность. Чита: Областная типография, 2009. [Belokrinitskaya T.E., Chartorizhskaya N.N., Kazantseva E.V., Frolova N.I. Fetoplacental insufficiency. Chita: Oblastnaia tipografiia, 2009 (in Russian).]
- Момот А.П., Тараненко И.А., Цывкина Л.П. Эволюция представлений о тромбофилии и ее роли в проблемах репродукции человека. Акушерство и гинекология. 2013; 2: 4–9. [Momot A.P., Taranenko I.A., Tsyvkina L.P. Evoliutsiia predstavlenii o trombofilii i ee roli v problemakh reproduktsii cheloveka. Akusherstvo i ginekologiia. 2013; 2: 4–9 (in Russian).]
- Brosens I, Pijnenborg R, Vercruysse L, Romero R. The «Great Obstetrical Syndromes» are associated with disorders of deep placentation. Am J Obstet Gynecol 2011; 204 (3): 193–201.
- Ходжаева З.С., Холин А.М., Вихляева Е.М. Ранняя и поздняя преэклампсия. Парадигмы патобиологии и клиническая практика. Акушерство и гинекология. 2013; 10: 4–11. [Khodzhaeva Z.S., Kholin A.M., Vikhliaeva E.M. Ranniaia i pozdniaia preeklampsiia. Paradigmy patobiologii i klinicheskaia praktika. Akusherstvo i ginekologiia. 2013; 10: 4–11 (in Russian).]
- Salazar Garcia MD, Sung N, Mullenix TM et al. Plasminogen Activator Inhibitor-1 4G/5G Polymorphism is Associated with Reproductive Failure: Metabolic, Hormonal, and Immune Profiles. Am J Reprod Immunol 2016; 76 (1): 70–81. doi: 10.1111/aji.12516
- Генетический паспорт – основа индивидуальной и предикативной медицины. Под ред. В.С. Баранова. СПб.: Н-Л, 2009. [A genetic passport is the basis of individual and predicative medicine. Ed. V.S. Baranova. Saint Petersburg: N-L, 2009 (in Russian).]
- Dłuski D, Mierzyński R, Poniedziałek-Czajkowska E, Leszczyńska-Gorzelak B. Adverse pregnancy outcomes and inherited thrombophilia. J Perinat Med 2018; 46 (4): 411–7. doi: 10.1515/jpm-2017-0059
- Al-Mutawa J. Interaction with angiotensin-converting enzyme-encoding gene in female infertility: Insertion and deletion polymorphism studies. Saudi J Biol Sci 2018; 25 (8): 1617–21. doi: 10.1016/j.sjbs.2016.06.003
- Guidelines for Perinatal Care. 8th Edition. ACOG&AAP, 2017.
- Abramovici A, Gandley RE, Clifton RG et al. Prenatal vitamin C and E supplementation in smokers is associated with reduced placental abruption and preterm birth: a secondary analysis. BJOG 2015; 122 (13): 1740–7.
- Eubanks AA, Walz S, Thiel LM. Maternal risk factors and neonatal outcomes in placental abruption among patients with equal access to health care. J Matern Fetal Neonatal Med 2019; p. 1–6. doi: 10.1080/14767058.2019.1657088
- Грызунова Е.М., Совершаева С.Л., Соловьев А.Г. и др. Состояние гемодинамики в системе «мать – плацента – плод» у курящих беременных. Экология человека. 2016; 9: 15–20. [Gryzunova E.M., Sovershaeva S.L., Solov’ev A.G. et al. Sostoianie gemodinamiki v sisteme «mat’ – platsenta – plod» u kuriashchikh beremennykh. Ekologiia cheloveka. 2016; 9: 15–20 (in Russian).]
- Ye Y, Vattai A, Zhang X et al. Role of Plasminogen Activator Inhibitor Type 1 in Pathologies of Female Reproductive Diseases. Int J Mol Sci 2017; 18 (8). doi: 10.3390/ijms18081651
补充文件




