Дифференциальная диагностика доброкачественных опухолей и злокачественных новообразований яичников на основании метаболома крови
- Авторы: Юрова М.В.1, Токарева А.О.1, Чаговец В.В.1, Стародубцева Н.Л.1, Франкевич В.Е.1
-
Учреждения:
- ФГБУ «Национальный медицинский исследовательский центр акушерства, гинекологии и перинатологии им. акад. В.И. Кулакова» Минздрава России
- Выпуск: Том 26, № 3 (2024)
- Страницы: 229-236
- Раздел: ОРИГИНАЛЬНАЯ СТАТЬЯ
- Статья опубликована: 20.09.2024
- URL: https://gynecology.orscience.ru/2079-5831/article/view/635320
- DOI: https://doi.org/10.26442/20795696.2024.3.202941
- ID: 635320
Цитировать
Полный текст
Аннотация
Обоснование. Высокий уровень смертности от рака яичников во многом обусловлен бессимптомным течением заболевания. Признаки злокачественных и пограничных опухолей яичника схожи с проявлениями доброкачественных поражений, что определяет актуальность разработки дополнительных процедур обследования и поиска новых онкомаркеров, которые позволят различать доброкачественные и злокачественные процессы.
Цель. Создать устойчивые панели липидов крови для дифференциации здоровых пациентов, пациентов с доброкачественными (ДОЯ) и злокачественными (ЗОЯ) опухолями яичника.
Материалы и методы. Выполнен поиск маркеров для кластеризации молекулярных профилей образцов крови пациентов ФГБУ «НМИЦ АГП им. акад. В.И. Кулакова» с ДОЯ (цистаденома – n=30, эндометриоидная киста – n=56, тератома – n=21), с ЗОЯ (пограничная опухоль – n=28, рак яичников низкой степени злокачественности – n=16, рак яичников высокой степени злокачественности – n=59) и добровольцев группы контроля (n=19) при помощи дискриминантного анализа ортогональных проекций на скрытые структуры с установленным порогом важности переменной VIP>1 (OPLS) и метода проекций на скрытые структуры (PLS-PLS – это технология многомерного статистического анализа, используемая для сокращения размерности пространства признаков с минимальной потерей полезной информации; порог важности VIP>1) и других статистических инструментов. Молекулярный профиль образцов составляли соединения, идентифицированные посредством методов ядерного магнитного резонанса и высокоэффективной жидкостной хроматографии с масс-спектрометрией. Проведен анализ вовлеченности соединений, являющихся потенциальными маркерами злокачественных процессов, в метаболические пути.
Результаты. На основе методов OPLS и PLS в результате попарного и мультиклассового сравнений соответственно выявлены наборы липидов, которые могут рассматриваться в качестве маркеров злокачественных и доброкачественных новообразований. Изучено перекрытие полученных панелей с базами данных метаболических путей, в частности показано, что все маркеры (кроме глюкозы), полученные посредством PLS для дифференциации здоровых пациентов, пациентов с ДОЯ или с ЗОЯ, задействованы в пути транспорта малых молекул (Transport of small molecules), глюкоза и лактат участвуют в пути TCA Cycle Nutrient Utilization and Invasiveness of Ovarian Cancer. Триглицериды TG 16:0_16:0_18:1, TG 16:0_18:0_18:1, TG 16:0_18:1_18:1, TG 18:0_18:1_18:1, TG 18:0_18:1_18:2 и лактат вовлечены в путь HIF1A and PPARG regulation of glycolysis, причем гены HIF1A и PPARG связаны с развитием опухолей. Метаболиты CE 20:4, TG 16:0_16:0_18:1, TG 16:0_18:0_18:1, TG 16:0_18:1_18:1, TG 18:0_18:1_18:1, TG 18:0_18:1_18:2 включены в пути энергетического обмена, а LPC 16:0, PC 16:0_20:3, PC 16:0_20:4 вовлечены в путь Choline metabolism in cancer. Построены графы корреляционного взаимодействия маркеров, позволяющих решать задачи классификации с однозначной интерпретацией результатов, что дает возможность говорить о перспективности использования данных панелей для дальнейшего создания классификационных моделей.
Заключение. Показано, что липиды из разработанных панелей участвуют в метаболических путях, связанных с развитием опухолевых заболеваний, и могут быть использованы для дальнейшей валидации диагностических моделей на основе методов углубленного машинного обучения. Внедрение достижений постгеномных исследований обладает потенциалом повысить диагностическую ценность применяемых методов дифференцировки доброкачественных и злокачественных пролиферативных процессов, а также дополнить имеющиеся данные о процессах канцерогенеза в яичниках. Таким образом, анализ молекулярного профиля крови посредством масс-спектрометрии является малоинвазивным потенциально эффективным методом диагностики.
Полный текст
Актуальность
Своевременная дифференциальная диагностика доброкачественных опухолей (ДОЯ) и злокачественных новообразований (ЗНО) яичников представляет собой одну из наиболее актуальных и сложных нерешенных клинических задач практического здравоохранения. В структуре заболеваемости ЗНО женского населения Российской Федерации на опухоли яичников приходится 4,1% [1]. В высокоразвитых странах, таких как США и Канада, 5-летняя выживаемость при раке яичников высокой степени злокачественности составляет лишь 47%. Для сравнения: аналогичный показатель при раке молочной железы достигает 85% [2, 3]. Это связано с отсутствием эффективных мер, направленных на выявление ЗНО яичников на ранних стадиях, – в 75% случаев диагноз устанавливается на III–IV стадиях заболевания. По мнению United States Preventive Services Task Force [4], скрининг новообразований яичников считается нецелесообразным в связи с высоким риском проведения необоснованных оперативных вмешательств у бессимптомных женщин. Сложности обусловлены отсутствием пато- гномоничных проявлений заболеваний придатков, низкой специфичностью и ограниченной доступностью диагностических методов. В связи с малосимптомным течением опухоли и опухолевидные образования могут манифестировать только при достижении увеличенных размеров в виде острого хирургического состояния (разрыв кисты или кровоизлияние, компрессия соседних органов). До 80% всех перекрутов придатков происходит вследствие опухолей и опухолевидных образований яичников. Пациенты с ДОЯ могут находиться под наблюдением гинеколога. При подозрении на злокачественный процесс пациенты должны быть направлены на консультацию к гинекологу-онкологу. Перспективными являются методы, основанные на интерпретации результатов ультразвукового исследования и магнитно- резонансной томографии, использующие системы IOTA или ADNEX, демонстрирующие чувствительность и специфичность в исследованиях от 80% [5–7]. В то же время акцент в таких исследованиях делается в первую очередь на дискриминации доброкачественных поражений от злокачественных, без акцентирования на диагностике поражения вообще. Исследования метаболитов мочи [8], белков [9] и метаболитов сыворотки крови [10] показывают высокий диагностический потенциал молекулярных профилей, полученных при анализе образцов, взятых при жидкостной биопсии, как для дифференциации злокачественных поражений от доброкачественных, так и для отделения здоровых пациентов от пациентов с поражениями.
Метаболическое профилирование основано преимущественно на методах спектроскопии ядерного магнитного резонанса (ЯМР) и высокоэффективной жидкостной хроматографии с масс-спектрометрической детекцией (ВЭЖХ-МС). Оба метода могут давать качественную и количественную информацию о широком спектре метаболитов за одну аналитическую процедуру. ВЭЖХ-МС является методом аналитической химии, позволяющим определять химический состав анализируемых образцов при помощи измерения соотношения массы ионов к их зарядам (m/z). Вторым перспективным количественным неразрушающим, неинвазивным методом является спектроскопия ЯМР высокого разрешения, которая предоставляет подробную информацию о молекулярном составе раствора, исходя из ядерных взаимодействий и свойств. Спектроскопические методы ЯМР также можно использовать для исследования молекулярной динамики и подвижности метаболитов посредством интерпретации спиновой релаксации ЯМР и свойств молекулярной диффузии. Современные возможности статистической обработки и хемометрического анализа позволяют использовать результаты ВЭЖХ-МС и ЯМР в фундаментальных и трансляционных биомедицинских и онкологических исследованиях [11–13].
Цель работы заключалась в создании панелей метаболитов крови для дифференциации здоровых пациентов, пациентов с ДОЯ и ЗОЯ.
Материалы и методы
Сбор и подготовка образцов
Выполнен поиск маркеров для кластеризации образцов крови пациентов ФГБУ «НМИЦ АГП им. акад. В.И. Кулакова» с ДОЯ (цистаденома – n=30, эндометриоидная киста – n=56, тератома – n=21), с ЗНО (пограничная опухоль – n=28, рак яичников низкой степени злокачественности – n=16, рак яичников высокой степени злокачественности – n=59) и исследуемых группы контроля (n=19). Работа основана на использовании данных о липидных профилях, полученных ранее в ходе проведения клинических исследований на базе ФГБУ «НМИЦ АГП им. акад. В.И. Кулакова». Образцы крови собирались в пробирку, содержащую этилендиаминтетрауксусную кислоту, до приема предоперационных препаратов (антибиотики, анальгетики и др.) пациентом. Собранные образцы центрифугировали при 300g и 4°C в течение 20 мин. После центрифугирования надосадочная жидкость отбиралась и центрифугировалась при 12 000g и 20°C в течение 10 мин. Полученная плазма перемещалась в соответствующие подписанные пробирки по 0,5 мл и хранилась при -80°C.
Получение метаболомного профиля
Экстракция липидов производилась по модифицированному методу Фолча: 480 μL хлороформ/метанольной смеси mixture (2/1, о/о) добавлялось к 40 мкл плазмы. Смесь выдерживалась в ультразвуковой ванне в течение 1 мин, после чего добавлялось 150 мкл воды. Затем смесь центрифугировалась при 13 000g и 20°C в течение 5 мин. Нижний органический слой с липидами отбирался, высушивался и перерастворялся в 200 мкл смеси изопропанол/ацетонитрил (2/1, о/о) для масс-спектрометрического анализа.
Липидные образцы проанализированы на жидкостном хроматографе Dionex UltiMate 3000 (Thermo Scientific, Германия), соединенном с масс-анализатором с ионизацией электрораспылением Maxis Impact qTOF (Bruker Daltonics, Германия); 3 мкл образца разделялись на колонке Zorbax XDB-C18 (250×0,5 мм, 5 мкм; Agilent, USA) при скорости потока 35 мкл/мин. В качестве элюента А использовали водно/ацетонитрильную смесь (40/60, о/о) с 0,1% муравьиной кислоты и 10 мМ формиата аммония, в качестве элюента В – смесь изопропанол/ацетонитрил/вода (90/8/2, о/о/о) с муравьиной кислотой и 10 мМ формиата аммония. Доля компонента B линейно изменялась в течение 25 мин от 30 до 95% (о/о) при температуре колонки 50°C. Масс-спектрометрический анализ производился в режиме положительных и режиме отрицательных ионов в диапазоне 400–1500 и 100–1000 m/z соответственно со следующими параметрами: напряжение на капилляре – 4,1 и 3,0 кВ, давление распыляющего газа – 0,7 бар, поток осушающего газа – 6 Л/мин, его температура – 200°C.
Спектр фрагментации получали при следующих парамет- рах: три наиболее интенсивных пика выбирались из спектра для фрагментации ударной диссоциацией с энергией 35 эВ с последующим исключением на 1 мин. Предобработка файлов выполняется средствами MzMine по алгоритму, составленному Koelmel. Полученные данные представляют собой таблицу, содержащую информацию о площади пиков, m/z ионов, которые к ним относятся, и времени их выхода. Идентификация липидов – по точной массе m/z с использованием базы данных Lipid Maps и спектрам фрагментации (МС/МС) средствами Lipid Match.
ЯМР-анализ и подготовка образцов для него производились как в ранее проведенном исследовании [14].
Получение панелей маркеров
Рассмотрено два подхода к выбору маркеров, полученных в результате попарного и мультиклассового сравнения. Для первого подхода задействованы тесты Манна–Уитни и Уэлча с порогом статистической значимости p<0,05, дискриминантный анализ ортогональных проекций на скрытые структуры (OPLS), метод случайного леса, метод рекурсивной элиминации переменных посредством машины опорных векторов (МОВ-РЭП), оператор наименьших абсолютных сжатия и выбора для биномиальной классификации (ЛАССО), алгоритм Борута. Для второго подхода задействованы тест Краскела–Уоллиса с порогом статистической значимости p<0,05, дискриминантный анализ проекций на скрытые структуры (PLS), метод случайного леса, оператор наименьших абсолютных сжатия и выбора для мультиномиальной классификации (ЛАССО), алгоритм Борута. Для оценки стабильности выбора переменных каждый тест проводился 100 раз на перевыбираемых 80% образцов с вычислением индекса дисперсии Коха, потенциальную панель маркеров составляли соединения, которые вошли в каждое из 100 разбиений.
Оценка качества панелей
Для панелей с наибольшим индексом дисперсии Коха проведен анализ качества кластеризации в пространстве главных компонент с использованием следующих метрик: индекса Дэвиса–Болдина, индекса Губерта–Левина, псевдо-F-статистики Калинского–Харабаша. Для панелей с наилучшей кластеризацией построены графы на основе информации о корреляции уровней со- единений между собой с учетом тех связей, значение которых являлось статистически значимым (p<0,05) и >0,4 по методу Пирсона. Соединения, у которых значение отношения «уровень при более тяжелом заболевании» / «уровень при более легком заболевании» превышало 1,1 и вероятность равенства медианного значения отношений единице (p) была <0,05, обозначались как соединения, уровень которых растет при более тяжелом заболевании; соединения, у которых значение отношения «уровень при более тяжелом заболевании» / «уровень при более легком заболевании» оказалось ниже 0,9 и p<0,05, обозначались как соединения, уровень которых падает при более тяжелом заболевании.
Кроме того, наилучшие панели использованы для моделей бинарной классификации посредством градиентного бустинга с предварительным разбиением на обучающую/тестовую часть (70%/30%). Оптимальные чувствительность и специфичность вычислялись исходя из максимизации суммы чувствительности и специфичности.
Проведен анализ насыщенности путей соединениями, вошедших в панель маркеров, посредством веб-ресурса Impala, имеющего доступ к базам KEGG, Reactome, BioCyc, Pathway interaction database, Biocarta, NetPath, INOH, EHMN, PharmGkb, WikiPathways, SMPDB. Как статистически значимо обогащенные определены пути с вероятностью ложного открытия меньше 0,05.
Результаты
Панели маркеров
Панели, созданные для задач биномиальной классификации и для решения комплексной задачи по дискриминации групп с использованием методов OPLS и PLS, характеризуются высокой стабильностью и устойчивостью (табл. 1), в связи с чем дальнейшие данные и интерпретации в статье приведены для двух данных методов.
Таблица 1. Индекс дисперсии Коха для задач биномиальной классификации для созданных панелей маркеров и индекс устойчивости созданных панелей для решения комплексной задачи по дискриминации групп ДОЯ, ЗОЯ, группы контроля Table 1. The Koch dispersion index for binomial classification problems for the developed marker panels and the sustainability index of the developed panels to solve the complex problem of discrimination between benign ovarian tumor (BOT), malignant ovarian tumor (MOT), and control groups | |||
Параметр | Индекс дисперсии Коха для задач биномиальной классификации (число маркеров) | ||
Группа контроля/ДОЯ | Группа контроля/ЗОЯ | ДОЯ/ЗОЯ | |
Манна–Уитни, p<0,05 | 0,33 (10) | 0,46 (34) | 0,44 (20) |
Уэльч, p<0,05 | 0,26 (7) | 0,32 (37) | 0,36 (19) |
OPLS, VIP>1 | 0,46 (6) | 0,59 (24) | 0,48 (13) |
Случайный лес | 0,2 (0) | 0,17 (1) | 0,17 (1) |
МОВ-РЭП | 0,59 (10) | 0,72 (21) | 0,94 (109) |
Лассо | 0,14 (0) | 0,08 (0) | 0,23 (3) |
Борута | 0,13 (0) | 0,13 (0) | 0,16 (1) |
Индекс дисперсии Коха для комплексной задачи по дискриминации групп (число маркеров) | |||
Краскела–Уоллиса, p<0,05 | 0,47 (37) | ||
PLS, VIP>1 | 0,48 (19) | ||
Случайный лес | 0,19 (1) | ||
Лассо | 0,2 (0) | ||
Борута | 0,18 (1) | ||
Примечание. Число маркеров в панели приведено в скобках. | |||
Наиболее стабильные панели маркеров для бинарных и для мультиклассовых дифференцирующих задач включали в себя соединения, представленные в табл. 2.
Таблица 2. Наиболее стабильные панели маркеров для бинарных и для мультиклассовых дифференцирующих задач Table 2. The most sustainable marker panels for binary and multiclass differentiating problems | ||
Метод | Задача | Маркеры в панели |
Наиболее стабильные панели маркеров для бинарных классификационных задач (OPLS, VIP>1) | Группа контроля/ДОЯ | PC 16:0_20:3, PC 16:0_20:4, PC 16:0_22:6, PC 16:0_20:1, PC 18:0_18:2, PC 18:0_20:4 |
Группа контроля/ЗОЯ | CE 18:3, LPC 16:0, LPC 18:0, LPC 18:2, LPC 20:5, PC 14:0_18:2, PC 16:0_18:2, PC 16:0_20:2, PC 16:0_20:3, PC 16:0_20:4, PC 16:1_18:2, PC 16:0_20:1, PC 18:0_18:1, PC 18:0_18:2, PC 18:0_20:3, PC P-18:0/18:1, SM d18:1/18:0, SM d18:1/22:0, SM d18:1/22:1, TG 10:0_18:2_18:2, TG 16:0_18:1_18:1, LPC 18:2, MGDG 18:0_18:0, OxPC 20:4_14:0(COOH) | |
ДОЯ/ЗНО | CE 18:3, LPC 16:0, LPC 18:0, LPC 18:2, PC 16:0_20:3, PC 16:0_20:4, PC 18:0_18:2, PC 18:0_20:5, SM d18:1/18:0, SM d18:1/22:0, TG 16:0_18:1_18:1, TG 16:0_18:2_18:2, OxPC 20:4_14:0(COOH) | |
Наиболее стабильные панели маркеров для мультиклассовых классификационных задач (PLS, VIP>1) | CE 20:4, LPC 16:0, LPC 18:2, PC 16:0_20:3, PC 16:0_20:4, SM d16:1/16:0, SM d18:1/20:0, SM d18:1/22:0, SM d18:1/22:1, SM d18:1/24:0, TG 10:0_18:2_18:2, TG 16:0_16:0_18:1, TG 16:0_18:0_18:1, TG 16:0_18:1_18:1, TG 16:1_22:4_8:0, TG 18:0_18:1_18:1, TG 18:0_18:1_18:2, глюкоза, лактат | |
Панели для бинарной классификации, созданные на основе OPLS, показали лучший результат по индексу Губерта–Левина и псевдо-F-статистики. Наилучшее качество разделения образцов пациентов между разными группами в пространстве главных компонент, построенных на основе сформированных панелей для мультиклассового распределения, получено по индексу Губерта–Левина и псевдо-F-статистики Калинского–Харабаша по сравнению с индексами Дэвиса–Болдина (табл. 3).
Таблица 3. Качество разделения образцов пациентов между разными группами в пространстве главных компонент, построенных на основе сформированных панелей (PLS, VIP>1) Table 3. Quality of discrimination of patient specimens between different groups in the space of the principal components generated based on the developed panels (PLS, VIP>1) | |||||
Метрика | Метод | Группа контроля/ДОЯ | Группа контроля/ЗОЯ | ДОЯ/ЗОЯ | Сравнение трех групп |
Индекс Дэвиса–Болдина | OPLS | 2,95 | 2,99 | 6,37 | 5,91 |
PLS | 6,81 | ||||
Индекс Губерта–Левина | OPLS | 0,5 | 0,51 | 0,47 | 0,47 |
PLS | 0,42 | ||||
Псевдо-F-статистика Калинского–Харабаша | OPLS | 3,7 | 2,78 | 6,32 | 2,11 |
PLS | 15,08 | ||||
Корреляции маркеров в панелях
Панель, созданная с использованием OPLS для классификации образцов крови здоровых добровольцев и пациентов с ДОЯ, образует два кластера, к 1-му относятся PC 16:0_20:1 и PC 16:0_20:3 (маркеры снижены при ДОЯ), ко 2-му – PC 16:0_20:4 (повышен при ДОЯ) и PC 18:0_20:4 (рис. 1, а). Панель, созданная для классификации образцов крови здоровых добровольцев и пациентов с ЗОЯ, образует один кластер из 17 соединений, уровни которых снижены, и 3 соеди- нения, уровни которых повышены (TG 16:0_18:1_18:1, PC 16:0_20:4, SM d18:1/18:0) при ЗНО (рис. 1, b). Панель, созданная для дифференциации ДОЯ и ЗНО, образует два кластера, при ЗНО отмечено снижение 11 соединений (1-й кластер), снижение CE 20:4 и TG 16:0_18:1_18:1 (2-й кластер); рис. 1, c.
Рис. 1. Граф корреляционного взаимодействия маркеров, выбранных с использованием OPLS для классификационных задач: а – группа контроля/ДОЯ; b – группа контроля/ЗОЯ; c – ДОЯ/ЗОЯ. Красными кругами обозначены соединения, уровень которых повышен при ЗНО, синими – уровень которых снижен, белыми – изменений не обнаружено. Красными линиями выделены отрицательные корреляционные связи, зелеными – положительные.
Fig. 1. The graph of the correlation interaction of markers selected using OPLS for classification tasks: a – control group/BOT; b – control group/MOT; c – BOT/MOT. Red circles indicate the markers increasing in malignancies; blue circles indicate those decreasing, and white circles indicate markers with no changes found. Negative correlations are marked with red lines and positive ones with green lines.
Панель, созданная с использованием PLS, разбивается на два кластера. В один из кластеров включены TG 18:0_18:1_18:1, TG 18:0_18:1_18:2, TG 16:0_18:0_18:1, уровень которых повышен при ДОЯ, а также TG 16:0_16:0_18:1, TG 16:0_18:1_18:1, уровень которых изменяется менее чем на 10%, при этом показана положительная корреляция с содержанием указанных липидов и CE 20:4, уровень которого снижен при ДОЯ (отмечена отрицательная корреляция с перечисленными липидами). Во 2-й кластер входят соединения, уровень которых изменяется менее чем на 10%: уровень LPC 18:2 снижен при ДОЯ, уровень SM d18:1/24:0 – повышен (рис. 2, а). При поиске различий между образцами крови женщин без опухолевых процессов и пациентов с ЗОЯ панель образует кластер, делящийся на две подгруппы, в 1-ю вошли TG 16:0_16:0_18:1, TG 16:0_18:1_18:1, TG 16:0_18:0_18:1, TG 18:0_18:1_18:1, TG 18:0_18:1_18:2, уровень которых повышен при ЗОЯ, и CE 20:4, уровень которого снижен (отрицательная корреляция с остальными липидами подгруппы), во 2-ю – LPC 18:2, LPC 16:0, SM d18:1/24:0, SM d18:1/22:0, SM d18:1/22:1, SM d16:1/16:0, SM d18:1/20:0, TG 10:0_18:2_18:2, TG 16:1_22:4_8:0, уровень которых снижается при ЗОЯ. Отдельный кластер с положительной корреляцией образован лактатом и глюкозой (рис. 2, b). При дифференциации образцов крови пациентов с ДОЯ и с ЗОЯ панель образовала три кластера, два из которых совпали с подгруппами кластера из предыдущей классификации, а 3-й кластер составили лактат и глюкоза (рис. 2, c).
Рис. 2. Граф корреляционного взаимодействия маркеров, выбранных с использованием PLS при сравнении групп: а – группа контроля/ДОЯ; b – группа контроля/ЗОЯ; c – ДОЯ/ЗОЯ. Красными кругами обозначены соединения, уровень которых повышается при ЗНО, синими – снижается, белыми – изменений не обнаружено. Красными линиями выделены отрицательные связи, зелеными – положительные.
Fig. 2. The graph of the correlation interaction of markers selected using PLS when comparing groups: a – control group/BOT; b – control group/MOT; c – BOT/MOT. Red circles indicate the markers increasing in malignancies, blue circles indicate those decreasing, and white circles indicate those with no changes found. Negative correlations are marked with red lines and positive ones with green lines.
Классификационные модели
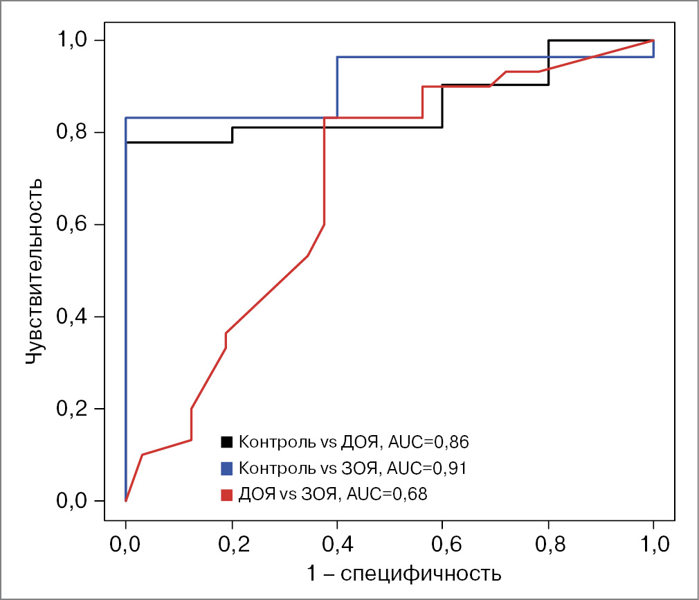
На основе панелей, полученных при помощи OPLS, получены модели бинарной классификации с чувствительностью 78% и специфичностью 100% при пороге 0,88 для классификации «контроль»/«ДОЯ», с чувствительностью 84% и специфичностью 100% при пороге 0,90 для классификации «контроль»/«ЗОЯ» и чувствительностью 83% и специфичностью 63% при пороге 0,04 для классификации «ДОЯ»/«ЗОЯ» (рис. 3).
Рис. 3. Операционные кривые, полученные в ходе кросс-валидации моделей на основе созданной панели. Черный цвет – классификация «группа контроля»/«ДОЯ», синий – классификация «группа контроля»/«ЗОЯ», красный – классификация «ДОЯ»/«ЗОЯ».
Fig. 3. Receiver operating curves generated during the cross-validation of the models based on the developed panel. Black is the classification of "control group"/"BOT," blue is the classification of "control group"/"MOT," and red is the classification of "BOT"/"MOT."
Анализ метаболических путей
Для метода мультиклассового анализа (дифференциальная диагностика образцов крови пациентов с ДОЯ, ЗОЯ и образцов группы контроля) при помощи PLS показано высокое значение перекрытия полученных маркеров панели с базами данных метаболических путей – значение достигло 74% (число путей с FDR<0,05 – 67; число маркерных соеди- нений, включенных в эти пути, – 14; общее число маркеров – 19). Аналогично высокую долю покрытия имеют панели, созданные на базе OPLS для бинарной классификации (38–46–50% для сравнений «группа контроля – ЗОЯ» – «ДОЯ/ЗОЯ» – «группа контроля – ДОЯ» соответственно).
Установлены пути, общие для определенного сочетания маркеров (PC 16:0_20:3, PC 16:0_20:4, PC 18:0_20:4), полученных методом OPLS для дифференциации образцов крови женщин группы контроля от пациентов с ДОЯ, – отмечено, что все три маркера включены в том числе в пути Choline metabolism in cancer – Homo sapiens (human), Role of phospholipids in phagocytosis, Innate Immune System.
При сравнении образцов крови добровольцев и пациентов с ЗНО также установлены сигнальные пути, вовлеченность которых можно предположить на основании установленных дифференцирующих маркерных наборов (данных наборов выделено 11). Показано, что 10 из 11 наборов включены в пути Transport of small molecules и Metabolism of lipids. Отмечено, что PC 16:0_20:3, PC 16:0_20:4, PC 18:0_18:1, TG 16:0_18:1_18:1 включены в пути иммунного ответа , Innate Immune System, Immune System, SM d18:1/22:0 и SM d18:1/22:1 ассоциированы с активностью путей клеточной смерти и некроптоза, LPC 16:0, LPC 18:0, PC 16:0_20:3, PC 16:0_20:4, PC 18:0_18:1 включены в путь Choline metabolism in cancer – Homo sapiens (human), TG 16:0_18:1_18:1 (образует самостоятельный набор) задействован в пути генов канцерогенеза HIF1A and PPARG regulation of glycolysis.
При выявлении дифференцирующих компонентов при сравнении образцов крови пациентов с ДОЯ и ЗНО установлено шесть отдельных наборов маркеров. Следует отметить вовлеченность всех маркеров в пути Transport of small molecules и Metabolism of lipids. Кластер из SM d18:1/20:0, SM d18:1/22:0 и SM d18:1/22:1 задействован в активности пути некроптоза и смерти клеток. LPC 16:0 и LPC 18:0 включены в путь Choline metabolism in cancer – Homo sapiens (human), а TG 16:0_18:1_18:1 – в путь генов HIF1A и PPARG, ассоциированных с развитием опухолей HIF1A and PPARG regulation of glycolysis.
Все маркеры, полученные посредством PLS и включенные в пути, за исключением глюкозы, участвуют в метаболическом пути Transport of small molecules. Глюкоза и лактат входят в путь TCA Cycle Nutrient Utilization and Invasiveness of Ovarian Cancer. TG 16:0_16:0_18:1, TG 16:0_18:0_18:1, TG 16:0_18:1_18:1, TG 18:0_18:1_18:1, TG 18:0_18:1_18:2, лактат включены в путь HIF1A and PPARG regulation of glycolysis, причем гены HIF1A и PPARG связаны с развитием опухолей, CE 20:4, TG 16:0_16:0_18:1, TG 16:0_18:0_18:1, TG 16:0_18:1_18:1, TG 18:0_18:1_18:1 и TG 18:0_18:1_18:2 включены в пути энергетического обмена, LPC 16:0, PC 16:0_20:3 и PC 16:0_20:4 включены в путь Choline metabolism in cancer – Homo sapiens (human).
Обсуждение
Одной из актуальных задач современной медицины является разработка методов дифференциальной диагностики, которые бы совмещали высокую точность с минимальной инвазивностью процедур. Наибольший клинический интерес представляет дифференциальная диагностика генеза новообразований яичников при визуализируемом объемном образовании по данным методов визуальной диагностики (ультразвуковое исследование, магнитно-резонансная томография, компьютерная томография и пр.) и/или при наличии жалоб (боли внизу живота, диспареуния, дисхезия, нарушение менструального цикла и пр.).
В последние годы обнаружено, что метаболизм липидов претерпевает значительные изменения при раке яичников, что привлекает повышенное внимание [15]. Кроме того, установлено, что нарушение регуляции липидного обмена является важнейшей особенностью прогрессирования рака яичников, отражающей повышенные энергетические потребности высокопролиферирующих раковых клеток и ремоделирование клеточной мембраны [16]. Липиды входят в состав клеточных мембран, участвуют в клеточной сигнализации и являются регуляторами многочисленных клеточных функций, которые управляют энергетическими процессами [17]. Учитывая тесную связь между измененным липидным метаболизмом и онкогенезом, накапливаются доказательства, показывающие специфические липидные профили, связанные с ростом и метастазированием рака яичников [18–20]. Профилирование липидома сыворотки пациентов с раком яичников по сравнению с нормальным контролем и доброкачественными новообразованиями продемонстрировало доказательства дисрегуляции глицерофосфолипидов, церамидов и триглицеридов, связанных с ЗНО [18, 21]. Некоторые исследования показали, что использование липидных панелей в сочетании с CA-125 может обеспечить повышенную диагностическую мощность [20–22]. Недавно сообщалось о диагностическом потенциале ганглиозидов, класса гликолипидов, участвующих в иммуносупрессивном ответе в опухолях, для различения пациентов с раком яичников от заболеваний, связанных с ЗНО других локализаций, и также сообщалось о повышенных уровнях ганглиозидов в плазме, тканях и асцитической жидкости у пациентов с раком яичников [23]. Однако эти исследования часто затрудняются малыми размерами выборки, ограниченным количеством образцов на ранней стадии, отсутствием внешних наборов данных для проверки и несоответствиями в протоколах сбора и обработки образцов, что ограничивает статистическую значимость и надежность конечных результатов.
Следует отметить, что в отличие от общепринятой клинической практики изучаемые нами методы позволяют считать диагностически значимым не только повышение, но и снижение выявленных маркеров ЗНО, а также данные о различиях устанавливаются чаще всего не по одному метаболиту, а по их совокупности (образуемой группе/кластеру).
В результате проведенного нами исследования получены данные, свидетельствующие о возможностях выполнения высокоточной дифференциации доброкачественных процессов (цистаденома, эндометриоидная киста, зрелая тератома) и ЗНО (пограничная опухоль, рак яичников низкой степени злокачественности, рак яичников высокой степени злокачественности) яичников при помощи неинвазивной диагностики по анализу крови посредством анализа образцов методами ВЭЖХ-МС и ЯМР. Ранее проведенные нами исследования уже подтвердили данный постулат [24–26]. Однако научное исследование продолжено для повышения точности моделей и поиска новых маркеров и методов их обнаружения не только для диагностики, но и для биологической интерпретации их презентации при том или ином патологическом процессе в области придатков матки. Мы выбрали панель липидов для различения ДОЯ, ЗНО яичников и группы контроля с максимально возможной статистической точностью. Регрессия методом частичных наименьших квадратов (OPLS и PLS) обобщает данные анализа главных компонент и множественного регрессионного анализа и создает новый набор переменных, оптимизированных для максимальной ковариации, используя наименьшее возможное количество измерений [27]. Регрессия методом (O)PLS используется для поиска ортогональных факторов (относится к вычислению оптимального соответствия методом наименьших квадратов части корреляционной или ковариационной матрицы). Она идеально подходит для экспериментальных переменных, в частности для поиска предикторов.
В результате проведенного нами исследования показано, что липиды из созданных панелей включены в метаболические пути, связанные с развитием опухолевых заболеваний, и могут быть использованы для дальнейшей разработки диагностических моделей на основе методов углубленного машинного обучения.
Преимуществом исследования является использование высокоточного оборудования для объективной оценки содержания интересующих метаболитов, а также метода машинного обучения. Машинное обучение – разработка метода автоматизированного решения задачи посредством программного обучения решению сходных запросов на основе методов математической статистики, математического анализа, теории графов и других средств. Полученные данные свидетельствуют о возможности дифференциальной диагностики. К ограничениям проведенного исследования относится учет лимитированного спектра возможных конфаундеров при анализе метаболома крови, что может быть существенным при сравнении наблюдаемых групп контроля и пациентов с ЗНО яичников с более выраженной коморбидностью. Одной из потенциальных приоритетных задач продолжающегося исследования является анализ точности проведения внутригруппового сравнения образцов пациентов с пограничной опухолью, тератомой, раком яичников ранних и более прогрессивных стадий. С целью повышения диагностической точности моделей планируется продолжить поиск методов статистической обработки данных и построения моделей – предварительный анализ (данные пилотного исследования) позволяет предположить возможные преимущества создания панелей при помощи МОВ-РЭП (машина опорных векторов – рекурсивная элиминация переменных).
Заключение
Панель, созданная с использованием PLS, демонстрирует хорошее перекрытие с соединениями по базам данных и позволяет построить графы с однозначной интерпретацией результатов, что дает возможность говорить о перспективности использования данных панелей для дальнейшего создания классификационных моделей, необходимых при проведении дифференциальной диагностики новообразований яичников по анализу крови. Таким образом, анализ молекулярного профиля крови посредством масс-спектрометрии является малоинвазивным потенциально эффективным методом диагностики. Внедрение достижений постгеномных исследований обладает потенциалом дополнить имеющиеся данные о процессах канцерогенеза, а также усовершенствовать диагностическую ценность применяемых методов дифференцировки доброкачественных и злокачественных пролиферативных процессов в яичниках.
Раскрытие интересов. Авторы декларируют отсутствие явных и потенциальных конфликтов интересов, связанных с публикацией настоящей статьи.
Disclosure of interest. The authors declare that they have no competing interests.
Вклад авторов. Авторы декларируют соответствие своего авторства международным критериям ICMJE. М.В. Юрова – концептуализация, сбор материала, получение финансирования, администрирование проекта, проверка, поиск ресурсов, надзор, написание – обзор литературы, исходный черновик и редактирование; А.О. Токарева – курирование данных, методология, программное обеспечение, поиск ресурсов, написание – редактирование; В.В. Чаговец – формальный анализ, методология, программное обеспечение; Н.Л. Стародубцева – методология, формальный анализ, концептуализация, надзор, написание – редактирование; В.Е. Франкевич – формальный анализ, надзор, написание – обзор и редактирование.
Authors’ contribution. The authors declare the compliance of their authorship according to the international ICMJE criteria. M.V. Iurova – concept, data collection, obtaining funding, project administration, verification, resource search, supervision, writing of the literature review and initial draft and editing; A.O. Tokareva – data curation, methodology, software, resource search, text editing; V.V. Chagovets – formal analysis, methodology, software; N.L. Starodubtseva – methodology, formal analysis, concept, supervision, text editing; V.E. Frankevich – formal analysis, supervision, review writing, and text editing.
Информированное согласие на публикацию. Пациентки подписали форму добровольного информированного согласия на публикацию медицинской информации.
Consent for publication. Written consent was obtained from the patients for publication of relevant medical information and all of accompanying images within the manuscript.
Соответствие принципам этики. Исследование одобрено комиссией по этике биомедицинских исследований ФГБУ «НМИЦ АГП им. акад. В.И. Кулакова» (протокол №10 от 05 декабря 2019 г.). Исследование инициировано после получения одобрения указанных комитетов и выполнено в соответствии с ФЗ РФ от 27.07.2006 №152-ФЗ (с изменениями на 29.07.2017) «О персональных данных», с Федеральным Законом РФ от 21.11.2011 года №323-ФЗ «Об основах охраны здоровья граждан в РФ» (статья 13 «Соблюдение врачебной тайны»), положениями Хельсинкской декларации со всеми последующими дополнениями и изменениями, регламентирующими научные исследования на биоматериалах, полученных от людей, а также международным руководством для биомедицинских исследований с вовлечением человека (International ethical guidelines for biomedical research involving human subjects) Совета международных организаций медицинских наук (CIOMS).
Ethics approval. The study was approved by the Commission on the Ethics of Biomedical Research of the Kulakov National Medical Research Center for Obstetrics, Gynecology and Perinatology (Minutes No.10 dated December 5, 2019). The study was initiated after the approval by these committees and was carried out in accordance with the Federal Law of the Russian Federation dated 27.07.2006 No.152-ФЗ (as amended on 29.07.2017) "On Personal Data," the Federal Law of the Russian Federation dated 21.11.2011 No.323-ФЗ "On the Basics of Health Protection in the Russian Federation" (Article 13 "Confidentiality"), the provisions of the Helsinki Declaration with all subsequent additions and amendments regulating scientific research on human biomaterials, as well as the International ethical guidelines for biomedical research involving human subjects of the Council of International Organizations of Medical Sciences (CIOMS).
Источник финансирования. Исследование выполнено в рамках Гранта РНФ «Новые подходы применения возможностей искусственного интеллекта к дифференциальной диагностике доброкачественных опухолей и злокачественных новообразований яичников на основании особенностей метаболома крови, определенных при помощи физических методов».
Funding source. The study was carried out as part of the Russian Science Foundation (RSF) Grant "New approaches to the application of artificial intelligence to the differential diagnosis of benign and malignant ovarian tumors based on the features of the blood metabolome determined using physical methods".
Об авторах
Мария Владимировна Юрова
ФГБУ «Национальный медицинский исследовательский центр акушерства, гинекологии и перинатологии им. акад. В.И. Кулакова» Минздрава России
Автор, ответственный за переписку.
Email: m_yurova@oparina4.ru
ORCID iD: 0000-0002-0179-7635
канд. мед. наук, врач – акушер-гинеколог, онколог, науч. сотр. научно-поликлинического отд-ния
Россия, МоскваАлиса Олеговна Токарева
ФГБУ «Национальный медицинский исследовательский центр акушерства, гинекологии и перинатологии им. акад. В.И. Кулакова» Минздрава России
Email: alisa.tokareva@phystech.edu
ORCID iD: 0000-0001-5918-9045
канд. физ.-мат. наук, специалист лаб. клинической протеомики
Россия, МоскваВиталий Викторович Чаговец
ФГБУ «Национальный медицинский исследовательский центр акушерства, гинекологии и перинатологии им. акад. В.И. Кулакова» Минздрава России
Email: vvchagovets@gmail.com
ORCID iD: 0000-0002-5120-376X
канд. физ.-мат. наук, зав. лаб. метаболомики и биоинформатики
Россия, МоскваНаталия Леонидовна Стародубцева
ФГБУ «Национальный медицинский исследовательский центр акушерства, гинекологии и перинатологии им. акад. В.И. Кулакова» Минздрава России
Email: n_starodubtseva@oparina4.ru
ORCID iD: 0000-0001-6650-5915
канд. биол. наук, зав. лаб. клинической протеомики
Россия, МоскваВладимир Евгеньевич Франкевич
ФГБУ «Национальный медицинский исследовательский центр акушерства, гинекологии и перинатологии им. акад. В.И. Кулакова» Минздрава России
Email: v_vfrankevich@oparina4.ru
ORCID iD: 0000-0002-9780-4579
д-р физ.-мат. наук, зам. дир. Института трансляционной медицины
Россия, МоскваСписок литературы
- Каприн А.Д., Старинский В.В., Шахзадова А.О. Состояние онкологической помощи населению России в 2019 году. М. 2020 [Kaprin AD, Starinskii VV, Shakhzadova A.O. Sostoianiie onkologicheskoi pomoshchi naseleniyu Rossii v 2019 godu. Moscow. 2020 (in Russian)].
- Warren LA, Shih A, Renteira SM, et al. Analysis of menstrual effluent: diagnostic potential for endometriosis. Mol Med. 2018;24(1):1-12. doi: 10.1186/s10020-018-0009-6.
- Gaul DA, Mezencev R, Long TG, et al. Highly-accurate metabolomic detection of early-stage ovarian cancer. Sci Rep. 2015;5:1-7.
- Grossman DC, Curry SJ, Owens DK, et al. Screening for ovarian cancer US preventive services task force recommendation statement. JAMA. 2018;319(6):588-94.
- Xie WT, Wang YQ, Xiang ZS, et al. Efficacy of IOTA simple rules, O-RADS, and CA125 to distinguish benign and malignant adnexal masses. J Ovarian Res. 2022;15(1):15. doi: 10.1186/s13048-022-00947-9
- Xun L, Zhai L, Xu H. Comparison of conventional, doppler and contrast-enhanced ultrasonography in differential diagnosis of ovarian masses: a systematic review and meta-analysis. BMJ Open. 2021;11:e052830. doi: 10.1136/bmjopen-2021-052830
- Cui L, Xu H, Zhang Y. Diagnostic Accuracies of the Ultrasound and Magnetic Resonance Imaging ADNEX Scoring Systems For Ovarian Adnexal Mass: Systematic Review and Meta-Analysis. Acad Radiol. 2022;29(6):897-908. doi: 10.1016/j.acra.2021.05.029
- Eroglu EC, Kucukgoz Gulec U, Vardar MA, Paydas S. GC-MS based metabolite fingerprinting of serous ovarian carcinoma and benign ovarian tumor. Eur J Mass Spectrom (Chichester). 2022;28(1-2):12-24. doi: 10.1177/14690667221098520
- Kim H, Won BH, Choi JI, et al. BRAK and APRIL as novel biomarkers for ovarian tumors. Biomark Med. 2022;16(9):717-29. doi: 10.2217/bmm-2021-1014
- Zhang W, Lai Z, Liang X, et al. Metabolomic biomarkers for benign conditions and malignant ovarian cancer: Advancing early diagnosis. Clin Chim Acta. 2024;560:119734. doi: 10.1016/j.cca.2024.119734
- Ban D, Housley SN, Matyunina LV, et al. A personalized probabilistic approach to ovarian cancer diagnostics. Gynecol Oncol. 2024;182:168-75. doi: 10.1016/j.ygyno.2023.12.030
- Nunes SC, Sousa J, Silva F, et al. Peripheral Blood Serum NMR Metabolomics Is a Powerful Tool to Discriminate Benign and Malignant Ovarian Tumors. Metabolites. 2023;13(9):989. doi: 10.3390/metabo13090989
- Shekher A, Puneet, Awasthee N, et al. Association of altered metabolic profiles and long non-coding RNAs expression with disease severity in breast cancer patients: analysis by 1H NMR spectroscopy and RT-q-PCR. Metabolomics. 2023;19(2):8. doi: 10.1007/s11306-023-01972-5
- Чаговец В.В., Васильев В.Г., Юрова М.В., и др. Метаболомная подпись свободных муцинов при онкологических заболеваниях: CA125 и рак яичников высокой степени злокачественности. Вестник РГМУ. 2021;(6):10-6 [Chagovets VV, Vasil'ev VG, Iurova MV, et al. Metabolic “footprints” of the circulating cancer mucins: CA125 in the high-grade ovarian cancer. Bulletin of RSMU. 2021;(6):10-6 (in Russian)]. doi: 10.24075/vrgmu.2021.065.
- Sah S, Bifarin OO, Moore SG, et al. Serum Lipidome Profiling Reveals a Distinct Signature of Ovarian Cancer in Korean Women. Cancer Epidemiol Biomarkers Prev. 2024;33(5):681-93. doi: 10.1158/1055-9965.EPI-23-1293
- Saorin A, Di Gregorio E, Miolo G, et al. Emerging role of metabolomics in ovarian cancer diagnosis. Metabolites. 2020;10:419.
- Butler LM, Perone Y, Dehairs J, et al. Lipids and cancer: emerging roles in pathogenesis, diagnosis and therapeutic intervention. Adv Drug Deliv Rev. 2020;159:245-93.
- Niemi RJ, Braicu EI, Kulbe H, et al. Ovarian tumours of different histologic type and clinical stage induce similar changes in lipid metabolism. Br J Cancer. 2018;119:847-54.
- Li J, Xie H, Li A, et al. Distinct plasma lipids profiles of recurrent ovarian cancer by liquid chromatography-mass spectrometry. Oncotarget. 2017;8:46834-45.
- Onwuka JU, Okekunle AP, Olutola OM, et al. Lipid profile and risk of ovarian tumours: a meta-analysis. BMC Cancer. 2020;20:200.
- Braicu EI, Darb-Esfahani S, Schmitt WD, et al. High-grade ovarian serous carcinoma patients exhibit profound alterations in lipid metabolism. Oncotarget. 2017;8:102912-22.
- Buas MF, Drescher CW, Urban N, et al. Quantitative global lipidomics analysis of patients with ovarian cancer versus benign adnexal mass. Sci Rep. 2021;11:18156.
- Galan A, Papaluca A, Nejatie A, et al. GD2 and GD3 gangliosides as diagnostic biomarkers for all stages and subtypes of epithelial ovarian cancer. Front Oncol. 2023;13:1134763.
- Iurova MV, Chagovets VV, Pavlovich SV, et al. Lipid Alterations in Early-Stage High-Grade Serous Ovarian Cancer. Front Mol Biosci. 2022;9:770983. doi: 10.3389/fmolb.2022.770983
- Юрова М.В., Чаговец В.В., Франкевич В.Е., и др. Дифференциация серозных новообразований яичников на основании масс-спектрометрического анализа липидного профиля сыворотки крови: пилотное исследование. Акушерство и гинекология. 2021;(9):107-19 [Iurova MV, Chagovets VV, Frankevich VE, et al. Differential diagnosis of serous ovarian tumors using mass spectrometry-based serum lipid profiling: A pilot study. Akusherstvo i Ginekologiia. 2021;(9):107-19 (in Russian)]. doi: 10.18565/aig.2021.9.107-119
- Юрова М.В., Франкевич В.Е., Павлович С.В., и др. Диагностика серозного рака яичников высокой степени злокачественности Iа–Iс стадии по липидному профилю сыворотки крови. Гинекология. 2021;23(4):335-40 [Iurova MV, Frankevich VE, Pavlovich SV, et al. Diagnosis of Ia–Ic stages of serous high-grade ovarian cancerby the lipid profile of blood serum. Gynecology. 2021;23(4):335-40 (in Russian)]. doi: 10.26442/20795696.2021.4.200911
- Bowman FD, Guo Y, Derado G. Statistical approaches to functional neuroimaging data. Neuroimaging Clin N Am. 2007;17(4):441-58. doi: 10.1016/j.nic.2007.09.002
Дополнительные файлы






