Оптимизация тактики ведения беременных с новой коронавирусной инфекцией COVID-19
- Авторы: Медянникова И.В.1, Куклис Ю.Ч.2, Савельева И.В.1, Безнощенко Г.Б.1, Галянская Е.Г.1, Цыганкова О.Ю.1, Кривчик Г.В.1,3, Бухарова Е.А.1, Носова Н.В.1, Давыдов П.В.1
-
Учреждения:
- ФГБОУ ВО «Омский государственный медицинский университет» Минздрава России
- ГБУЗ «Инфекционная клиническая больница №2» Департамента здравоохранения г. Москвы
- БУЗОО «Городской клинический перинатальный центр»
- Выпуск: Том 26, № 4 (2024)
- Страницы: 350-357
- Раздел: ОРИГИНАЛЬНАЯ СТАТЬЯ
- Статья опубликована: 27.12.2024
- URL: https://gynecology.orscience.ru/2079-5831/article/view/635615
- DOI: https://doi.org/10.26442/20795696.2024.4.203009
- ID: 635615
Цитировать
Полный текст
Аннотация
Обоснование. Многочисленные исследования свидетельствуют о том, что беременные являются группой риска тяжелой заболеваемости, неблагоприятных гестационных исходов и смертности после перенесенной инфекции, вызванной вирусом SARS-CoV-2 (COVID-19). У этих пациенток выше частота прерывания беременности на различных сроках, преждевременных родов, преэклампсии, кесарева сечения, рождения детей с низкой массой тела (МТ).
Цель. Улучшить исходы беременности и родов у женщин с COVID-19 путем оптимизации диагностических и лечебно-профилактических мероприятий.
Материалы и методы. Проведено открытое проспективное сплошное поперечное исследование, в котором обследованы 114 пациенток после перенесенной инфекции, вызванной SARS-CoV-2. У 32 беременных основной группы с высоким риском акушерских осложнений лечебная тактика помимо стандартной терапии основного заболевания включала назначение эндотелиотропного препарата сулодексид и ацетилсалициловой кислоты.
Результаты. Тяжелое течение COVID-19 у беременных определяет высокую вероятность плацентарных нарушений (отношение шансов – ОШ 6,1; 95% доверительный интервал – ДИ 2,6–14,9), задержки роста плода (ОШ 5,6; 95% ДИ 1,2–30,2), преэклампсии (ОШ 8,5; 95% ДИ 3,4–22,4), преждевременных родов (ОШ 14,1; 95% ДИ 5,8–38,4), оперативного родоразрешения (ОШ 8,5; 95% ДИ 4,1–18,1), низкой МТ детей при рождении (ОШ 18,0; 95% ДИ 6,4–62,2), госпитализации в отделение реанимации и интенсивной терапии новорожденных (ОШ 25,4; 95% ДИ 6,4–67,0).
Заключение. Усовершенствование тактики ведения беременных при COVID-19 с выделением среди них группы высокого риска по гестационным осложнениям, основанной на ранней их диагностике, своевременном родоразрешении и, помимо стандартной терапии основного заболевания, профилактике венозных тромбоэмболических осложнений, включающей назначение ацетилсалициловой кислоты и эндотелиотропных препаратов, позволяет снизить частоту плацентарных нарушений в 2,3 раза, тяжелой преэклампсии – в 2,9 раза, преждевременных родов на сроке 28–37 нед – в 2 раза, оперативного родоразрешения путем операции кесарева сечения – в 1,6 раза, рождения детей с низкой МТ – в 2,3 раза, госпитализации в отделение реанимации и интенсивной терапии новорожденных – в 2,5 раза.
Полный текст
Введение
Пандемия, вызванная коронавирусом SARS-CoV-2 (COVID-19), на протяжении 3 лет оставалась основной проблемой здравоохранения большинства стран мира из-за высокой контагиозности, распространенности COVID-19 и смертности, тяжести течения заболевания. Изучение течения новой коронавирусной инфекции (НКИ), ее влияния на показатели здоровья населения имеет большую медицинскую и социально-экономическую значимость [1].
По данным исследований, протекание COVID-19 во время гестации с большой вероятностью может сопровождаться невынашиванием, преждевременными родами (ПР), развитием дистресс-синдрома у плода, тромбоцитопенией и нарушением функции печени у новорожденного [2–5]. Вместе с тем нет доказательств того, что задержка роста плода (ЗРП) может быть связана с заболеванием COVID-19 матери. Тем не менее в 63% наблюдений, когда у беременных диагностировано острое респираторное вирусное заболевание, выявлена ЗРП [3, 6]. В настоящее время некоторые исследователи не подтверждают вертикальный путь передачи вируса SARS-CoV-2 от матери плоду [7].
Известно, что вирус SARS-CoV-2 инфицирует эндотелиальные клетки, вызывая повреждение эндотелия и эндотелиальную дисфункцию [8]. В результате этого процесса возникают спазм сосудов, агрегация тромбоцитов, адгезия лейкоцитов, гемокоагуляция и пролиферация гладкомышечных сосудистых клеток. Развитие у матери эндотелиальной дисфункции, генерализованной микроангиопатии и тромбофилии приводит к дезадаптации плацентарного кровообращения и, как следствие, к заболеваниям, относящимся к большим акушерским синдромам, таким как преэклампсия (ПЭ), преждевременная отслойка нормально расположенной плаценты (ПОНРП), ЗРП и ПР [9, 10]. Современные исследования продемонстрировали связь концентрации эндотелина-1 с ПЭ и развитием HELLP-синдрома [11–13]. При этом отсутствуют публикации об исследованиях эндотелина-1 у пациенток с НКИ, вызванной SARS-CoV-2.
Цель исследования – улучшить исходы беременности и родов у женщин с COVID-19 путем оптимизации диагностических и лечебно-профилактических мероприятий.
Материалы и методы
В 2020–2023 гг. проведено открытое проспективное сплошное поперечное исследование на базе родильного дома в составе многопрофильного инфекционного стационара ГБУЗ ИКБ №2, работающего в системе обязательного медицинского страхования г. Москвы, Россия. Клиническое исследование одобрено этическим комитетом ФГБОУ ВО ОмГМУ (протокол №10 от 13.10.2021). На I этапе в исследование включены 114 беременных, перенесших COVID-19 и находившихся на стационарном лечении. В зависимости от степени тяжести основного заболевания пациентки разделены на группы: 1-я группа (n=36) – пациентки с легким течением НКИ, вызванной вирусом SARS-CoV-2, 2-я группа (n=56) – женщины со средней степенью тяжести, 3-я группа (n=22) – больные с тяжелым течением. Контрольную группу составили 93 беременные, находящиеся на стационарном лечении в этот период, не заболевшие COVID-19 и не имеющие признаков острой респираторной вирусной инфекции. На II этапе исследования разработана и внедрена в практику балльная оценка акушерского риска при НКИ, вызванной SARS-CoV-2, у женщин во время гестационного периода. По предложенной шкале наблюдались 62 пациентки с высоким акушерским риском при НКИ, вызванной SARS-CoV-2. У 32 беременных основной группы (О-группы) лечебная тактика помимо стандартной терапии основного заболевания по действующим методическим рекомендациям и профилактики венозных тромбоэмболических осложнений (ВТЭО) низкомолекулярными гепаринами (НМГ) включала назначение эндотелиопротектора (сулодексида) 600 ЛЕ 1 раз в сутки внутримышечно на протяжении 10 дней с последующим переходом на пероральный прием по 250 ЛЕ 2 раза в сутки и пероральный прием ацетилсалициловой кислоты 150 мг в сутки до 36 нед беременности. У 30 женщин группы сравнения (С-группы) лечебная тактика включала стандартную терапию по действующим методическим рекомендациям и профилактику ВТЭО НМГ.
Критерии включения беременных в исследование: возраст старше 16 лет; положительный результат теста, проведенного методом полимеразной цепной реакции, на РНК вируса SARS-CoV-2; срок гестации >22 нед на момент инфицирования; письменное информированное согласие женщины на участие в исследовании. Критерии исключения: пациентки, имеющие заболевания, влияющие на иммунный статус (ВИЧ, хронические гепатиты), и пациентки с онкологическими заболеваниями. Всем беременным проводили обследование и динамическое наблюдение в соответствии с Приказом Минздрава России №1130 и действующими клиническими рекомендациями Минздрава России «Организация оказания медицинской помощи беременным, роженицам, родильницам и новорожденным при новой коронавирусной инфекции COVID-19» от 05.07.2021.
Всем пациенткам исследовали уровень эндотелина-1 на первые и третьи сутки пребывания в стационаре в образцах супернатантной плазмы методом иммуноферментного анализа с применением наборов «Quantikine ELISA Endotelin-1 Immunoassay» (ЗАО «БиоХимМак», г. Новосибирск). Ультразвуковое исследование с допплерометрией проводили на аппаратах класса «GE Voluson S10», «GE Logiq E». Для оценки сосудистого сопротивления в бассейне маточных артерий измеряли систоло-диастолическое отношение (СДО).
Статистический анализ данных проводили по общепринятым методам вариационной статистики при помощи пакета прикладных программ SPSSV.23.0 (USA). Качественные признаки описывали в абсолютных значениях и относительных (%) показателях. Распределение значений переменных в сравниваемых группах оценивали с использованием метода Колмогорова–Смирнова. Для описания количественных данных, имеющих нормальное распределение, рассчитывали среднее арифметическое (М) и стандартное отклонение (SD). Для выявления различий между группами применяли однофакторный дисперсионный анализ (ANOVA), для апостериорных сравнений – критерий Тьюки. При распределении признаков, отличающемся от нормального, данные рассчитывали в виде медианы (Ме) и квартилей (Ме [25%; 75%]). Для сравнения количественных признаков применяли U-критерий Манна–Уитни, качественных – хи-квадрат Пирсона (χ²), критерий Фишера. Применяли расчет отношения шансов (ОШ) и двусторонние 95% доверительные интервалы (ДИ) для выявления связи признаков и воздействия изучаемого фактора на исход. Критический уровень значимости при проверке статистических гипотез принимали равным 0,05.
Результаты
Нами проанализированы исходные характеристики изучаемого контингента женщин в зависимости от тяжести течения основного заболевания (табл. 1). Возраст пациенток, перенесших COVID-19, составил 22–45 лет. Средний возраст в группах варьировал: в 1-й группе – 25±3, во 2-й – 31±4, в 3-й – 38±4 года. При этом пациентки с тяжелым течением основного заболевания были значимо старше женщин с легким течением COVID-19 (p=0,045). В то же время между пациентками со средней и тяжелой степенью тяжести течения инфекции SARS-CoV-2 значимых различий по возрасту не получено (p=0,011).
Таблица 1. Характеристика беременных в исследованных группах, абс. (%) Table 1. Characteristics of pregnant women in study groups, abs. (%) | |||||
Показатель | Пациентки после перенесенной НКИ | Контрольная группа (n=93) | р | ||
1-я группа (n=36) | 2-я группа (n=56) | 3-я группа (n=22) | |||
Возраст, лет (М±SD) | 25±3 | 31±4 | 38±4 | 24±3 | 0,045 |
Возраст, лет, абс. (%) | |||||
22–25 | 5 (27,8) | 8 (14,2) | 0 (0,0) | 17 (17,0) | |
26–30 | 6 (33,3) | 11 (19,6) | 2 (9,1) | 37 (37,0) | |
31–35 | 5 (27,8) | 22 (39,3) | 7 (31,8) | 40 (40,0) | |
36–40 | 2 (11,1) | 9 (16,1) | 11 (50,0) | 6 (6,0) | |
41–45 | 0 (0,0) | 6 (10,7) | 2 (9,1) | 0 (0,0) | |
ИМТ, кг/м2 (M±SD) | 27±3 | 29±5 | 32±4 | 23±4 | 0,007 |
Рост, см (M±SD) | 166±4 | 164±3 | 164±5 | 167±5 | 0,121 |
При оценке антропометрических данных у пациенток, перенесших COVID-19, и беременных контрольной группы статистически значимых различий по росту не выявлено (p=0,121). У пациенток с тяжелым течением основного заболевания индекс массы тела – ИМТ (32±4 кг/м2) значимо превышал анализируемый показатель контрольной группы (23±4 кг/м2) и 1-й группы с легким течением (27±3 кг/м2), а также пациенток со средней степенью тяжести COVID-19 (29±5 кг/м2).
При анализе акушерско-гинекологического анамнеза пациенток выявлено, что он отягощен у перенесших НКИ, вызванную SARS-CoV-2 (80/114; 70,18%). У 1/3 пациенток (38/114; 33,33%) в анамнезе имелись искусственные или самопроизвольные прерывания беременности. Несмотря на то что в контрольной группе число повторнобеременных пациенток было меньше (55/93; 59,14%), чем в основной группе (83/114; 72,81%), значимо по паритету исследованный контингент не различался. Повторнородящие составили: в 1-й группе – 24/36 (66,67%), во 2-й – 37/56 (66,07%), в 3-й – 16/22 (72,72%), в 4-й – 49/93 (52,69%).
В контрольной группе выявлено 22/93 (23,66%) соматически здоровых пациенток, которых не было среди беременных со средней и тяжелой степенью тяжести основного заболевания (рис. 1). У находившихся на стационарном лечении беременных имелись следующие хронические заболевания системы кровообращения: эссенциальная гипертензия, нарушение сердечного ритма, флебит и тромбофлебит нижних конечностей, варикозное расширение вен нижних конечностей, геморрой без осложнения неуточненный, варикозное расширение вен таза, варикозное расширение вен вульвы, гипотензия. Каждая 5-я беременная контрольной группы имела заболевание системы кровообращения (20/93; 21,51%), при этом аналогичные нозологии имели 2/3 пациенток, перенесших НКИ: в 1-й группе – 47,22% (ОШ 3,3; 95% ДИ 1,4–7,4), во 2-й – 82,14% (ОШ 16,8; 95% ДИ 7,2–39,1), в 3-й – 81,82% (ОШ 16,4; 95% ДИ 5,0–54,0). По количеству заболеваний органов дыхания, таких как аллергический ринит, хронический назофарингит, хронический тонзиллит, хронический бронхит, астма с преобладанием аллергического компонента, астматический статус, регистрировались значимые отличия с контрольной группой (6/93; 6,45%): в 1-й группе – 19,44% (ОШ 3,5; 95% ДИ 1,1–11,3), во 2-й – 28,57% (ОШ 5,8; 95% ДИ 2,1–15,9), в 3-й – 31,82% (ОШ 6,8; 95% ДИ 2,0–22,9). Каждая 2-я пациентка с COVID-19 в отличие от беременных 4-й группы (20/93; 21,51%) имела заболевание мочеполовой системы (хронический пиелонефрит, хронический цистит, хронический сальпингит и оофорит, воспалительные болезни шейки матки, подострый и хронический вагинит, эндометриоз матки, эндометриоз яичников, эрозию шейки матки, спаечный процесс органов малого таза): в 1-й группе – 33,33% (ОШ 1,8; 95% ДИ 1,1–11,3), во 2-й – 76,79% (ОШ 12,1; 95% ДИ 5,5–26,7), в 3-й – 54,55% (ОШ 4,4; 95% ДИ 1,7–11,6).
Рис. 1. Экстрагенитальные факторы риска НКИ, вызванной SARS-CoV-2.
Fig. 1. Extragenital risk factors for SARS-CoV-2 infection.
Из находившихся на лечении в условиях акушерского стационара ПЭ осложнила течение беременности у 7,53% (7/93) женщин контрольной группы и у 38,60% (44/114) пациенток с COVID-19. При этом тяжелую ПЭ значимо чаще диагностировали у женщин со среднетяжелым и тяжелым течением COVID-19: в 1-й группе – у 5,56% (р=0,078), во 2-й – у 16,07% (р<0,001), в 3-й – у 36,36% (р<0,0001). В 7,69% (6/78) случаев при среднетяжелом и тяжелом течении основного заболевания наблюдались осложнения ПЭ, среди которых ПОНРП, выявленная у 3,57% (р=0,141) пациенток 2-й группы и у 9,09% (р=0,036) женщин 3-й группы. HELLP-синдром значимо отличал пациенток 3-й группы (2/22; 9,09%). ЗРП не встречалась в 1-й группе и значимо чаще регистрировалась только при тяжелом течении COVID-19: во 2-й группе – у 10,71% (р=0,074), в 3-й – у 18,18% (р=0,029), в 4-й – у 3,23%. Декомпенсация плацентарной недостаточности – антенатальная гибель плода – произошла у 4 пациенток со средней степенью тяжести (2/56; 3,57%) и тяжелым течением основного заболевания (2/22; 9,09%).
При допплерометрии в контрольной группе величина СДО в правой и левой маточной артерии составляла 1,7 (1,6–2,2) и 1,7 (1,6–2,1) соответственно. В 1-й группе СДО в правой и левой маточной артерии было выше значений контрольной группы – 2,4 (2,1–2,5) и 2,4 (1,8–2,5) соответственно (p=0,06). У женщин 2-й группы в сопоставлении с контрольной группой наблюдалось повышение в правой маточной артерии величины СДО в 1,5 раза (p=0,001), в левой маточной артерии – в 1,4 раза (p=0,001), составляющее 2,5 (2,2–2,9) и 2,4 (2,2–2,9) соответственно. У женщин 3-й группы в сравнении с контрольной группой регистрировалось повышение СДО в правой маточной артерии в 1,6 раза (p=0,001), в левой маточной артерии – в 1,5 раза (p=0,001), составляющее 2,8 (2,4–3,2) и 2,6 (2,4–3,2) соответственно.
Межгрупповые различия уровня эндотелина-1 статистически значимы при средней и тяжелой степени тяжести НКИ (рис. 2). У пациенток контрольной группы и 1-й группы уровень эндотелина-1 значимо не различался и соответствовал референсным показателям – 0,2–1,0 пмоль/л (индекс Юдена 0,98). В группах среднетяжелого течения НКИ уровень эндотелина-1 составлял 2,0–4,0 пмоль/л и значимо отличался от показателя контрольной группы и 1-й группы (p=0,001).
Рис. 2. Уровень эндотелина-1 у беременных после перенесенной НКИ в зависимости от тяжести основного заболевания.
Fig. 2. The level of endothelin-1 in pregnant women after COVID-19, depending on the severity of the underlying disease.
У пациенток 2-й группы выявлена корреляционная зависимость между содержанием эндотелина-1 и величиной СДО в правой маточной артерии (r=0,7; р<0,01). В 3-й группе анализ зависимости сосудистого сопротивления в маточных артериях и активности эндотелия показал корреляционную сильную прямую зависимость между уровнем эндотелина-1 и СДО в правой маточной артерии (r=0,8; р<0,01), а также слабую положительную корреляцию с СДО в левой маточной артерии (r=0,4; р<0,01).
В группе пациенток с тяжелым течением инфекции, вызванной SARS-CoV-2, в 91,0% случаев уровень эндотелина-1 превышал референсные значения. Максимальное значение эндотелина-1, которому соответствовало наивысшее значение индекса Юдена, составило 11,1 пмоль/л, оно выявлено у пациентки с развившейся тромбоэмболией легочной артерии (ТЭЛА). Все женщины с повышенной концентрацией эндотелина-1 имели сосудистые осложнения – плацентарные, артериальные и венозные тромбозы.
Внеплацентарные тромботические осложнения имели 15,6% (15/96) пациенток со средней и тяжелой степенью тяжести перенесенной НКИ. Среди последних у 10,4% (10/96) женщин тромбозы возникли при беременности – тромбофлебит вен нижних конечностей и тромбоз вен органов малого таза, составившие 6,3% (6/96) и 4,2% (4/96) случаев соответственно. У 4,2% (4/96) женщин тромботические осложнения имели место в родах – тромбоз вен органов малого таза и ТЭЛА, составившие 3,1% (3/96) и 1,0% (1/96) случаев соответственно. В послеродовом периоде у 1,0% (1/96) родильниц диагностирована ишемия головного мозга.
В контрольной группе у 93,55% (87/93) пациенток беременность завершилась на сроке 37–42 нед, у 6,45% (6/93) женщин – в 34–37 нед. Во 2-й группе произошло 25,0% (14/56) ПР (p=0,003), а 58,93% (33/56) пациенток родоразрешены через естественные родовые пути (p=0,03). ПР было больше у пациенток 3-й группы – 90,91% (p=0,003), что обусловлено нарастанием степени тяжести дыхательной недостаточности. На сроке 32–34 нед беременности произошла 1/2 родов в 3-й группе. Каждая 4-я женщина с тяжелым течением COVID-19 родоразрешена до 32 нед гестации.
По причине нарастания степени тяжести дыхательной недостаточности и присоединения синдрома полиорганной недостаточности при тяжелом течении инфекции SARS-CoV-2 все пациентки родоразрешены путем операции кесарева сечения – КС (р<0,0001). После оперативного родоразрешения 22,73% (5/22) пациенток 3-й группы переведены на экстракорпоральную мембранную оксигенацию (ЭКМО). Из 5 женщин, переведенных на ЭКМО, в позднем послеродовом периоде погибли 4, которые относились к 3-й группе (4/22; 18,18%).
В группах исследования женщин, перенесших COVID-19 во время беременности, масса тела (МТ) новорожденных составляла: в 1-й группе – 3110 [2708; 3685] г, во 2-й – 3050 [2648; 3485] г, в 3-й – 1990 [1236; 2825] г. Средняя МТ при рождении у детей пациенток со среднетяжелым (p=0,0016) и тяжелым течением основного заболевания (p<0,0001) была значимо меньше МТ новорожденных в 4-й группе – 3400 [3176; 3620] г.
В структуре осложнений у новорожденных наблюдались: асфиксия тяжелой степени – в 2/114 (1,75%) случаев, асфиксия среднетяжелой степени – в 8/114 (7,02%), бактериальная пневмония – в 4/114 (3,51%), церебральная ишемия тяжелой степени – в 1/114 (0,88%), церебральная ишемия среднетяжелой степени – в 3/114 (2,63%). В отделение реанимации и интенсивной терапии (ОРИТ) новорожденных направлены 23/114 (20,18%) ребенка. Перинатальных потерь в 1 и 4-й группах не обнаружено. Основными причинами неонатальной смертности, которая произошла у 3 пациенток со средней степенью тяжести (1/56; 1,79%) и тяжелым течением основного заболевания (2/22; 9,09%), стали недоношенность, внутрижелудочковые кровоизлияния 2–4-й степени.
Нами разработана и внедрена в практику балльная оценка акушерского риска при COVID-19 у женщин во время гестационного периода, позволяющая выделить беременных группы высокого риска по развитию гестационных осложнений в целях ранней диагностики и профилактики плацентарных и внеплацентарных тромботических нарушений.
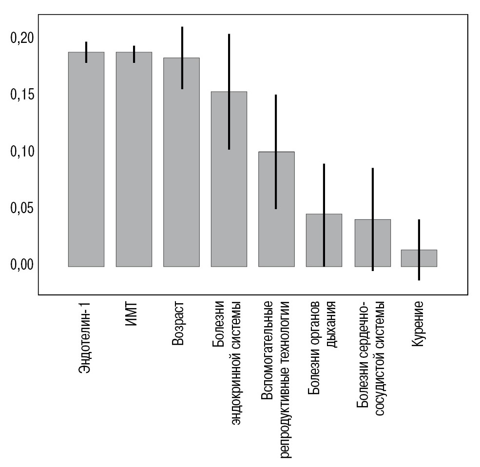
Мы использовали 2 метода, которые позволяют оценить значимость изучаемых факторов при прогнозировании того, к какой группе риска будет относиться пациентка: «метод взаимной информации» (рис. 3), «метод случайного леса» (рис. 4).
Рис. 3. Значение изучаемых факторов при прогнозировании акушерского риска у беременных с COVID-19. «Метод взаимной информации».
Fig. 3. The importance of the studied factors in predicting obstetric risk in pregnant women with COVID-19. "The mutual information method ".
Рис. 4. Значение изучаемых факторов при прогнозировании акушерского риска у беременных с COVID-19. «Метод случайного леса».
Fig. 4. The importance of the studied factors in predicting obstetric risk in pregnant women with COVID-19. "The random forest method".
На основании предложенного способа прогнозирования акушерский риск при COVID-19 у акушерских пациенток на этапе приемного отделения рассчитывается по балльной оценке следующих факторов риска: ИМТ, возраст, болезни эндокринной системы, беременность в результате вспомогательных репродуктивных технологий, болезни сердечно-сосудистой системы, болезни органов дыхания, курение. При этом каждому фактору риска присваивают при его наличии 1 балл, а при его отсутствии – 0 баллов. После суммирования баллов классифицируют риск гестационных осложнений:
- <2 баллов – низкий риск;
- ≥2 и ≤3 баллов – средний риск;
- >3 баллов – высокий риск.
По предложенной шкале оценки риска развития акушерских осложнений отобраны 62 пациентки с COVID-19, которые после балльной оценки имели средний и высокий риск гестационных осложнений. При поступлении в акушерский стационар 14/32 (43,75%) женщин О-группы имели легкое течение COVID-19, 12/32 (37,5%) – среднетяжелое течение, 6/32 (18,75%) – тяжелое течение основного заболевания. По балльной оценке акушерского риска средний риск имели 20/32 (62,5%) пациенток, высокий риск – 12/32 (37,5%) госпитализированных. В С-группе при поступлении в стационар легкое течение COVID-19 диагностировали у 15/30 (50,0%) женщин, среднетяжелое течение – у 10/30 (33,3%), тяжелое течение основного заболевания – у 5/30 (16,67%). По балльной оценке акушерского риска средний риск имели 20/30 (66,67%) пациенток, высокий риск – 10/30 (33,33%).
Изучаемый контингент обследованных был сопоставим по основным параметрам. Средний возраст женщин О-группы составил 32,5±5,4 года, ИМТ – 27 [24; 32] кг/м2. Беременные С-группы были в возрасте 31,9±5,6 года и имели ИМТ 28 [25; 31] кг/м2. Повторнородящих в О-группе было 20/32 (62,5%), в С-группе – 18/30 (60,0%). У части пациенток беременность наступила в результате вспомогательных репродуктивных технологий: в О-группе – у 8/32 (25,0%), в С-группе – у 8/30 (26,67%). Гестационный сахарный диабет (СД) имели 11/32 (34,38%) женщин О-группы и 11/30 (36,67%) наблюдаемых С-группы.
После госпитализации симптоматика и тяжесть основного заболевания нарастали у 7/30 (23,33%) человек С-группы (у 4 – с легкой степенью тяжести, у 3 – с тяжелым течением) и у 2/32 (6,25%) женщин О-группы с легкой степенью тяжести при поступлении.
Беременность в С-группе значимо чаще сопровождалась плацентарными нарушениями (15/30; 50,0%) по сравнению с пациентками О-группы (7/32; 21,88%); табл. 2. Клинические критерии плацентарных нарушений у 33,3% (10/30) наблюдаемых С-группы были связаны с нарушением кровотока в маточных и пуповинной артериях по сравнению с 9,38% (3/32) женщин О-группы (р<0,05). ЗРП встречалась у 2/32 (6,25%) женщин О-группы и значимо чаще регистрировалась в С-группе (5/30; 16,67%). Антенатальная гибель плода произошла у 2/30 (6,67%) пациенток С-группы.
Таблица 2. Оценка акушерских и перинатальных показателей у пациенток, перенесших COVID-19 во время беременности, в зависимости от лечебной тактики Table 2. Evaluation of obstetric and perinatal parameters in patients with history of COVID-19 during pregnancy, depending on treatment approach | ||||
Показатель | Пациентки после перенесенной НКИ COVID-19, абс. (%) | Точный критерий Фишера (двусторонний) | р | |
О-группа, n=32 | С-группа, n=30 | |||
Акушерские показатели | ||||
Плацентарные нарушения: | 7 (21,88) | 15 (50,0) | 0,03 | <0,05 |
• без задержки роста плода | 5 (15,63) | 10 (33,33) | 0,14 | >0,05 |
• с задержкой роста плода | 2 (6,25) | 5 (16,67) | 0,25 | >0,05 |
• с нарушением плацентарного кровотока | 3 (9,38) | 10 (33,33) | 0,03 | <0,05 |
Преэклампсия: | 10 (31,25) | 18 (60,0) | 0,04 | <0,05 |
• умеренная | 6 (18,75) | 7 (23,33) | 0,76 | >0,05 |
• тяжелая | 4 (12,5) | 11 (36,67) | 0,04 | <0,05 |
Преждевременная отслойка плаценты | 0 | 2 (6,67) | 0,23 | >0,05 |
HELLP-синдром | 0 | 1 (3,33) | 0,48 | >0,05 |
ПР | 9 (28,13) | 17 (56,67) | 0,04 | <0,05 |
КС | 15 (46,88) | 22 (73,33) | 0,04 | <0,05 |
Материнская смертность | 0 | 1 (3,33) | 0,48 | >0,05 |
Перинатальные показатели | ||||
Низкая МТ при рождении | 7 (21,88) | 15 (50,0) | 0,03 | <0,05 |
Госпитализация в ОРИТ | 6 (18,75) | 14 (46,67) | 0,03 | <0,05 |
Асфиксия: | 3 (9,38) | 6 (20,0) | 0,29 | >0,05 |
• средней степени | 3 (9,38) | 5 (16,67) | 0,47 | >0,05 |
• тяжелой степени | 0 | 1 (3,33) | 0,48 | >0,05 |
Церебральная ишемия: | 1 (3,13) | 2 (6,67) | 0,60 | >0,05 |
• средней степени | 1 (3,13) | 1 (3,33) | 1,0 | >0,05 |
• тяжелой степени | 0 | 1 (3,33) | 0,48 | >0,05 |
Перинатальная смертность | 0 | 3 (10,0) | 0,10 | >0,05 |
ПЭ осложнила течение беременности у 10/32 (31,25%) женщин О-группы и 18/30 (60,0%) пациенток С-группы. При этом тяжелая ПЭ значимо чаще диагностировалась в С-группе (11/30; 36,67%) в сравнении с О-группой (4/32; 12,5%). У 3/30 (10%) наблюдаемых С-группы наблюдались осложнения ПЭ, среди которых 2 случая ПОНРП и 1 случай HELLP-синдрома.
Процент ПР выявлен в большей степени у пациенток С-группы (17/30; 56,67%), чем у женщин О-группы (9/32; 28,13%). По причине нарастания степени тяжести дыхательной недостаточности и присоединения синдрома полиорганной недостаточности при тяжелом течении инфекции SARS-CoV-2 все пациентки родоразрешены путем операции КС. Оперативное родоразрешение встречалось значимо чаще в С-группе (22/30; 73,33%), чем в О-группе (15/32; 46,88%).
После оперативного родоразрешения 1/32 (3,13%) пациенток О-группы и 2/30 (6,67%) наблюдаемых С-группы переведены на ЭКМО. Из 3 женщин, переведенных на ЭКМО, в позднем послеродовом периоде погибла 1, которая состояла в С-группе (1/30; 3,33%).
Внеплацентарные тромботические осложнения имели 3/30 (10,0%) пациенток С-группы. Среди них у 1 женщины тромбофлебит вен нижних конечностей выявлен при беременности, у 1 пациентки в родах произошла ТЭЛА, у 1 родильницы диагностирована ишемия головного мозга в позднем послеродовом периоде.
В О-группе родились 32 живых ребенка с МТ 2910 [1708; 3586] г. Средняя МТ при рождении 28 живорожденных С-группы составила 2540 [1549; 3705] г. Дети от матерей С-группы имели более низкую оценку по шкале Апгар на 1-й минуте – 6,8 [5, 0;7, 9] балла, тогда как дети женщин О-группы – 7,3 [6, 3; 8, 3] балла. В ОРИТ направлены 6/32 (18,75%) детей матерей О-группы и 14/30 (46,67%) новорожденных от матерей С-группы. Причинами ранней неонатальной смертности 1 (3,33%) ребенка С-группы стали недоношенность и внутрижелудочковое кровоизлияние 4-й степени.
Обсуждение результатов
Проведенные исследования показали, что факторами риска тяжелого течения COVID-19 являются возраст беременной старше 40 лет, артериальная гипертензия, СД, ожирение, хронические заболевания почек, многоплодная беременность, ИМТ>35 кг/м2 [14–16]. Сопоставимые данные получены в нашем исследовании. Беременные с НКИ, вызванной SARS-CoV-2, как правило, старше 35 лет, имеют ИМТ≥30 кг/м2, а у 1/3 женщин беременность наступила после экстракорпорального оплодотворения. У беременных с COVID-19 наблюдается высокая частота гестационного СД (29,82), плацентарной недостаточности (30,70%), ПР (29,82%), ПЭ (38,60%) и КС (44,77%).
Согласно современным данным [11] COVID-19 существенно обостряет патологии беременности. В ряде ранее выполненных исследований отмечается, что развитие у матери эндотелиальной дисфункции, генерализованной микроангиопатии и тромбофилии приводит к дезадаптации плацентарного кровообращения и, как следствие, к развитию ПЭ, ЗРП, ПОНРП и ПР [9, 10]. В настоящем исследовании у 38,60% женщин, перенесших COVID-19 во время беременности, развилась ПЭ, из них в 13,16% случаев – тяжелая, в то время как риск развития тяжелой ПЭ в общей популяции составляет 1–2% [17].
Отмеченная в исследовании D. Di Mascio и соавт. [18] высокая частота (41,10%) ПР у беременных с COVID-19 подтвердилась в настоящей работе. У 29,82% исследованных нами женщин беременность закончилась ПР, что значительно превышает общепопуляционный показатель (4,40%) [17].
Согласно систематическому обзору, описывающему материнские и перинатальные исходы COVID-положительных беременных, наиболее значимым неблагоприятным акушерским исходом являются ПР (18,0–19,0%) [16]. Обосновывая причины ПР у беременных с COVID-19, исследователи полагают, что это явление не связано с внутриматочной инфекцией, поскольку отсутствуют данные о возможности трансплацентарного переноса вируса [12, 14]. Соответственно, этиологией ПР при НКИ считают тяжелую дыхательную недостаточность матери с гипоксемией, что ведет к нарушению маточно-плацентарного кровотока [13].
Родоразрешение у пациенток с COVID-19 в подавляющем большинстве случаев (50–100%) происходит путем КС [12–14]. В нашем исследовании частота КС у беременных с COVID-19 была в 1,5 раза выше по сравнению с показателем частоты КС в России (44,77% против 30,0%) [19]. Кроме того, КС при тяжелом течении COVID-19 проводили у всех женщин.
V. Vallejo и соавт. [19] указывают, что у беременных с COVID-19 возможно внезапное развитие критического состояния на фоне стабильного течения заболевания. Согласно данным исследователей КНР 3,0% беременных умирают от пневмонии, вызванной COVID-19. В настоящем исследовании госпитализация в ОРИТ потребовалась 19,30% женщин, которым после родов в 4,39% случаев необходима ЭКМО.
В настоящее время ведется активная дискуссия по поводу влияния COVID-19 на новорожденного. Некоторые работы говорят об отсутствии ближайших негативных последствий COVID-19 для новорожденного [8]. Так, в исследовании D. Liu и соавт. [20] показано, что все дети, рожденные на сроке беременности 38–41 нед, имели высокую оценку по шкале Апгар.
В нашем исследовании у 1,75% новорожденных регистрировалась асфиксия тяжелой степени, у 7,02% – асфиксия среднетяжелой степени, у 3,51% – бактериальная пневмония, у 2,63% – церебральная ишемия среднетяжелой степени, у 0,88% – церебральная ишемия тяжелой степени. Перинатальные потери в группе пациенток с легким течением основного заболевания отсутствовали. Основной причиной антенатальной смертности явилась декомпенсация плацентарной недостаточности, а причинами неонатальной смертности стали недоношенность и внутрижелудочковые кровоизлияния 2–4-й степени.
Воспалительный статус у пациентов с тяжелой и критической степенью тяжести COVID-19 действует как триггер для активации системы гемостаза [12]. Одним из звеньев развития синдрома диссеминированного внутрисосудистого свертывания при НКИ, вызванной SARS-CoV-2, является эндотелиальная дисфункция. Данный процесс сопровождается выбросом вазоактивного пептида эндотелина-1, стимулирующего активацию плазменного и тромбоцитарного звена гемостаза [6, 9, 11]. Основной источник эндотелина-1 – эндотелиальные клетки сосудов различных типов [8, 9]. Общепризнано, что эндотелин-1 является одним из самых мощных вазопрессоров сердечно-сосудистой системы человека, который способен оказывать сильное прессорное и тромбогенное действие на широкий спектр сосудов, в том числе на сосуды плаценты [3, 13].
Имеются данные о том, что вирус SARS-CoV-2 инфицирует эндотелиальные клетки, вызывая эндотелииты, повреждение эндотелия и эндотелиальную дисфункцию [8]. При эндотелиальной дисфункции уменьшается синтез и увеличивается разрушение синтезируемых им вазодилататоров: оксида азота, простациклина и протеина С. При этом возрастает образование вазоконстрикторных медиаторов, что смещает баланс в сторону вазоконстрикции. В результате этого процесса возникают спазм сосудов, агрегация тромбоцитов, адгезия лейкоцитов, гемокоагуляция и пролиферация гладкомышечных сосудистых клеток. При беременности в организме матери происходит сложная перестройка сосудистого ложа: процессы имплантации, инвазии трофобласта, адекватный васкулогенез и ангиогенез, ведущие к дилатационной трансформации спиральных артерий в маточно-плацентарные сосуды и нормальному функционированию плаценты [9]. Развитие у матери эндотелиальной дисфункции, генерализованной микроангиопатии и тромбофилии приводит к дезадаптации плацентарного кровообращения и, как следствие, к развитию таких акушерских осложнений, как ПЭ, ЗРП, ПОНРП и ПР [9, 10]. Современные исследования продемонстрировали связь концентрации эндотелина-1 с ПЭ, развитием HELLP-синдрома [11–13]. При этом в настоящее время нет публикаций об исследованиях эндотелина-1 у пациенток, перенесших COVID-19.
В нашем исследовании впервые проведен анализ уровня эндотелина-1 у беременных, перенесших SARS-CoV-2. У изучаемого контингента пациенток в зависимости от степени тяжести течения основного заболевания установлено следующее: у беременных, не заболевших SARS-CoV-2, и у пациенток после перенесенной инфекции COVID-19 в легкой форме уровень эндотелина-1 соответствует референсным значениям (≤1,0 пмоль/л); у беременных со средней и тяжелой степенью тяжести COVID-19 уровень эндотелина-1 регистрируется в пределах 2,0–4,0 пмоль/л. Приведенные данные отражают повышение активности эндотелиальной выстилки кровеносного русла матки и сосудов в системе «мать – плацента – плод». Плацентарная недостаточность у женщин после перенесенной НКИ COVID-19 обусловлена эндотелиальной дисфункцией, инициирующей вазоспастические процессы и рост сосудистого сопротивления в маточных артериях.
Современные данные свидетельствуют о том, что ведение пациенток на этапе прегравидарной подготовки с добавлением эндотелиотропных препаратов повышает вероятность наступления беременности и улучшает репродуктивные исходы [21]. Полученные результаты свидетельствуют о нарушении функции сосудистого эндотелия у беременных после перенесенного COVID-19. Развитие эндотелиальной дисфункции, на наш взгляд, является патогенетической основой для прогрессирования заболевания. Несмотря на наличие определенного спектра исследований, проводимых у пациенток с COVID-19, определение уровня вазоактивных пептидов не используется рутинно. Тот факт, что значимую роль в развитии тромбогенных осложнений после перенесенной НКИ, вызванной SARS-CoV-2, играет эндотелиопатия, означает, что целесообразно оценивать уровень эндотелина-1 у беременных. Ранняя диагностика эндотелиальной дисфункции в системе «мать – плацента – плод» имеет значение для улучшения прогнозирования и профилактики сосудистых осложнений, причем как плацентарных, ассоциированных с большими акушерскими синдромами (ПР, ЗРП, ПЭ, антенатальной гибели плода), так и внеплацентарных (артериальных и венозных тромбозов).
Заключение
Усовершенствование тактики ведения беременных с НКИ COVID-19 с выделением группы женщин высокого риска по гестационным осложнениям, основанное на ранней их диагностике, интенсивной терапии и своевременном родоразрешении, включающее, помимо стандартной терапии основного заболевания, профилактики ВТЭО НМГ, назначение ацетилсалициловой кислоты в профилактических дозах и коррекцию эндотелиальной дисфункции с добавлением эндотелиотропных препаратов, позволяет снизить частоту плацентарных нарушений в 2,3 раза, тяжелой ПЭ – в 2,9 раза, ПР на сроке 28–37 нед – в 2 раза, оперативного родоразрешения путем операции КС – в 1,6 раза, рождения детей с низкой МТ – в 2,3 раза, госпитализации в ОРИТ – в 2,5 раза.
Раскрытие интересов. Авторы декларируют отсутствие явных и потенциальных конфликтов интересов, связанных с публикацией настоящей статьи.
Disclosure of interest. The authors declare that they have no competing interests.
Вклад авторов. Авторы декларируют соответствие своего авторства международным критериям ICMJE. Все авторы в равной степени участвовали в подготовке публикации: разработка концепции статьи, получение и анализ фактических данных, написание и редактирование текста статьи, проверка и утверждение текста статьи.
Authors’ contribution. The authors declare the compliance of their authorship according to the international ICMJE criteria. All authors made a substantial contribution to the conception of the work, acquisition, analysis, interpretation of data for the work, drafting and revising the work, final approval of the version to be published and agree to be accountable for all aspects of the work.
Источник финансирования. Авторы декларируют отсутствие внешнего финансирования для проведения исследования и публикации статьи.
Funding source. The authors declare that there is no external funding for the exploration and analysis work.
Соответствие принципам этики. Протокол исследования был одобрен локальным этическим комитетом ФГБОУ ВО ОмГМУ (протокол №10 от 13.10.2021). Одобрение и процедуру проведения протокола получали по принципам Хельсинкской декларации.
Compliance with the principles of ethics. The study protocol was approved by the local ethics committee of Omsk State Medical University (protocol №10 dated 13.10.2021). The approval and protocol procedure was obtained according to the principles of the Declaration of Helsinki.
Информированное согласие на публикацию. Пациентки подписали форму добровольного информированного согласия на публикацию медицинской информации.
Consent for publication. Written consent was obtained from the patients for publication of relevant medical information and all of accompanying images within the manuscript.
Об авторах
Ирина Владимировна Медянникова
ФГБОУ ВО «Омский государственный медицинский университет» Минздрава России
Автор, ответственный за переписку.
Email: mediren@gmail.com
ORCID iD: 0000-0001-6892-2800
д-р мед. наук, доц., проф. каф. акушерства и гинекологии №1
Россия, ОмскЮлия Чеславовна Куклис
ГБУЗ «Инфекционная клиническая больница №2» Департамента здравоохранения г. Москвы
Email: mediren@gmail.com
ORCID iD: 0000-0003-4155-0597
врач – акушер-гинеколог
Россия, МоскваИрина Вячеславовна Савельева
ФГБОУ ВО «Омский государственный медицинский университет» Минздрава России
Email: mediren@gmail.com
ORCID iD: 0000-0001-9342-7342
д-р мед. наук, доц., зав. каф. акушерства и гинекологии
Россия, ОмскГалина Борисовна Безнощенко
ФГБОУ ВО «Омский государственный медицинский университет» Минздрава России
Email: mediren@gmail.com
ORCID iD: 0000-0002-6795-1607
д-р мед. наук, проф., проф. каф. акушерства и гинекологии №1
Россия, ОмскЕлена Георгиевна Галянская
ФГБОУ ВО «Омский государственный медицинский университет» Минздрава России
Email: mediren@gmail.com
ORCID iD: 0000-0002-9603-7363
канд. мед. наук, доц. каф. акушерства и гинекологии №1
Россия, ОмскОльга Юрьевна Цыганкова
ФГБОУ ВО «Омский государственный медицинский университет» Минздрава России
Email: mediren@gmail.com
ORCID iD: 0000-0002-3553-055X
канд. мед. наук, доц. каф. акушерства и гинекологии №1
Россия, ОмскГалина Владимировна Кривчик
ФГБОУ ВО «Омский государственный медицинский университет» Минздрава России; БУЗОО «Городской клинический перинатальный центр»
Email: mediren@gmail.com
ORCID iD: 0009-0000-0336-5425
канд. мед. наук, доц. каф. акушерства и гинекологии №1, зам. глав. врача по поликлинической работе
Россия, Омск; ОмскЕлена Анатольевна Бухарова
ФГБОУ ВО «Омский государственный медицинский университет» Минздрава России
Email: mediren@gmail.com
ORCID iD: 0000-0002-6093-3721
ассистент каф. акушерства и гинекологии №1
Россия, ОмскНаталья Владимировна Носова
ФГБОУ ВО «Омский государственный медицинский университет» Минздрава России
Email: mediren@gmail.com
ORCID iD: 0000-0002-2362-5367
ассистент каф. акушерства и гинекологии №1
Россия, ОмскПавел Васильевич Давыдов
ФГБОУ ВО «Омский государственный медицинский университет» Минздрава России
Email: mediren@gmail.com
ORCID iD: 0000-0001-6867-7024
ассистент каф. акушерства и гинекологии №1
Россия, ОмскСписок литературы
- Маношкина Е.М., Бантьева М.Н. Особенности течения новой коронавирусной инфекции и ее влияние на динамику показателей общественного здоровья. Социальные аспекты здоровья населения. 2023;69(5):4 [Manoshkina EM, Banteva MN. Features of the course of the new coronavirus infection and its impact on the dynamics of public health indicators. Sotsial'nye aspekty zdorov'ia naseleniia. 2023;69(5):4 (in Russian)]. doi: 10.21045/2071-5021-2023-69-5-4
- Тимербулатов В.М., Тимербулатов М.В. Здравоохранение во время и после пандемии COVID-19. Вестник Академии наук Республики Башкортостан. 2020;35(2):77-86 [Timerbulatov VM, Timerbulatov MV. Healthcare during and after the COVID-19 pandemic. Bulletin of the Academy of Sciences of the Republic of Bashkortostan. 2020;35(2):77-86 (in Russian)]. doi: 10.24411/1728-5283-2020-10209
- Schwartz DA, Graham AL. Potential Maternal and Infant Outcomes from (Wuhan) Coronavirus 2019-nCoV Infecting Pregnant Women: Lessons from SARS, MERS, and Other Human Coronavirus Infections. Viruses. 2020;12(2):194. doi: 10.3390/v12020194
- Westgren M, Pettersson K, Hagberg H, Acharya G. Severe maternal morbidity and mortality associated with COVID-19: The risk should not be downplayed. Acta Obstet Gynecol Scand. 2020;99(7):815-1. doi: 10.1111/aogs.13900
- Liu H, Wang LL, Zhao SJ, et al. Why are pregnant women susceptible to COVID-19? An immunological viewpoint. J Reprod Immunol. 2020;139:103122. doi: 10.1016/j.jri.2020.103122
- Khan MMA, Khan MN, Mustagir MG, et al. COVID-19 infection during pregnancy: a systematic review to summarize possible symptoms, treatments, and pregnancy outcomes. medRxiv. The Preprint Server for Health Sciences. 2020. doi: 10.1101/2020.03.31.20049304.
- Yan J, Guo J, Fan C, et al. Coronavirus disease 2019 in pregnant women: a report based on 116 cases. Am J Obstet Gynecol. 2020;223(1):111.e1-1.14. doi: 10.1016/j.ajog.2020.04.014
- Haffke M, Freitag H, Rudolf G, et al. Endothelial dysfunction and altered endothelial biomarkers in patients with post-COVID-19 syndrome and chronic fatigue syndrome (ME/CFS). J Transl Med. 2022;20(1):138. doi: 10.1186/s12967-022-03346-2
- Stow LR, Jacobs ME, Wingo CS, Cain BD. Endothelin-1 gene regulation. FASEB J. 2011;25(1):16-28. doi: 10.1096/fj.10-161612
- Karakus S, Bozoklu Akkar O, Yildiz C, et al. Serum levels of ET-1, M30, and angiopoietins-1 and -2 in HELLP syndrome and preeclampsia compared to controls. Arch Gynecol Obstet. 2016;293(2):351-9. doi: 10.1007/s00404-015-3803-1
- Белокриницкая Т.Е., Артымук Н.В., Филиппов О.С., Фролова Н.И. Клиническое течение, материнские и перинатальные исходы новой коронавирусной инфекции COVID-19 у беременных Сибири и Дальнего Востока. Акушерство и гинекология. 2021;2:48-54 [Belokrinitskaya TE, Artymuk NV, Filippov OS, Frolova NI. Clinical course, maternal and perinatal outcomes of 2019 novel coronavirus infectious disease (COVID-19) in pregnant women in Siberia and Far East. Obstetrics and Gynecology. 2021;2:48-54 (in Russian)]. doi: 10.18565/aig.202L2.48-54
- Jafari M, Pormohammad A, Sheikh Neshin SA, et al. Clinical characteristics and outcomes of pregnant women with COVID-19 and comparison with control patients: A systematic review and meta-analysis. Rev Med Virol. 2021;31(5):1-6. doi: 10.1002/rmv.2208
- Diriba K, Awulachew E, Getu E. The effect of coronavirus infection (SARS-CoV-2, MERS-CoV, and SARS-CoV) during pregnancy and the possibility of vertical maternal-fetal transmission: a systematic review and meta-analysis. Eur J Med Res. 2020;25(1):39. doi: 10.1186/s40001-020-00439-w
- Беженарь В.Ф., Зазерская И.Е., Беттихер О.А. Спорные вопросы акушерской тактики при ведении беременности и родоразрешении пациенток с новой коронавирусной инфекцией COVID-19. Акушерство и гинекология. 2020;5:13-21 [Bezhenar VF, Zazerskaya IE, Bettikher OA, et al. Controversial issues in obstetric management of women with novel coronavirus disease COVID-19 during pregnancy and childbirth. Obstetrics and Gynecology. 2020;5:13-21 (in Russian)]. doi: 10.18565/aig.2020.5.13-21
- Chen L, Li Q, Zheng D, et al. Clinical Characteristics of Pregnant Women with COVID-19 in Wuhan, China. N Engl J Med. 2020;382(25):e100. doi: 10.1056/NEJMc2009226
- Novoa RH, Quintana W, Llancari P, et al. Maternal clinical characteristics and perinatal outcomes among pregnant women with coronavirus disease 2019. A systematic review. Travel Med Infect Dis. 2021;39:101919. doi: 10.1016/j.tmaid.2020.101919
- Здравоохранение в России. 2019. Статистический сборник. 2019 [Zdravookhranenie v Rossii. 2019. Statisticheskii sbornik. 2019 (in Russian)].
- Di Mascio D, Khalil A, Saccone G, et al. Outcome of coronavirus spectrum infections (SARS, MERS, COVID-19) during pregnancy: a systematic review and meta-analysis. Am J Obstet Gynecol MFM. 2020;2(2):100107. doi: 10.1016/j.ajogmf.2020.100107
- Vallejo V, Ilagan JG. A Postpartum Death Due to Coronavirus Disease 2019 (COVID-19) in the United States. Obstet Gynecol. 2020;136(1):52-5. doi: 10.1097/AOG.0000000000003950
- Liu D, Li L, Wu X, et al. Pregnancy and Perinatal Outcomes of Women With Coronavirus Disease (COVID-19) Pneumonia: A Preliminary Analysis. AJR Am J Roentgenol. 2020;215(1):127-32. doi: 10.2214/AJR.20.23072
- Лапина И.А., Доброхотова Ю.Э., Таранов В.В., и др. Принцип таргетной терапии в комплексе преконцепционной подготовки у пациенток с постковидным синдромом. Женская клиника. 2021;4:16-24 [Lapina IA, Dobrokhotova IuE, Taranov VV, et al. Printsip targetnoi terapii v komplekse prekontseptsionnoi podgotovki u patsientok s postkovidnym sindromom. Zhenskaia klinika. 2021;4:16-24 (in Russian)].
Дополнительные файлы







