Рандомизированное исследование эффективности энзимотерапии у женщин, перенесших оперативное лечение пролапса тазовых органов
- Авторы: Зиганшин А.М.1,2, Шайхиева Э.А.3, Валиахметова Ч.Х.2
-
Учреждения:
- ФГБОУ ВО «Башкирский государственный медицинский университет» Минздрава России
- ГБУЗ «Республиканская клиническая больница им. Г.Г. Куватова»
- ГБУЗ «Республиканский медико-генетический центр»
- Выпуск: Том 27, № 2 (2025)
- Страницы: 139-147
- Раздел: ОРИГИНАЛЬНАЯ СТАТЬЯ
- Статья опубликована: 17.06.2025
- URL: https://gynecology.orscience.ru/2079-5831/article/view/684866
- DOI: https://doi.org/10.26442/20795696.2025.2.203244
- ID: 684866
Цитировать
Полный текст
Аннотация
Обоснование. Основным методом лечения тяжелых форм пролапса тазовых органов (ПТО) является хирургическая коррекция. Значительное количество оперативных вмешательств, высокая частота осложнений и рецидивов заставляют искать новые методы оперативного лечения. Одновременно продолжается поиск лекарственных препаратов (ЛП), позволяющих улучшать процессы заживления тканей в ране, с целью снижения частоты послеоперационных осложнений и числа рецидивов.
Цель. Оценить влияние ЛП Флогэнзим® на течение послеоперационного периода у женщин, перенесших оперативное лечение ПТО.
Материалы и методы. В открытое одноцентровое проспективное сравнительное рандомизированное исследование включены 124 пациентки, перенесшие оперативное лечение по поводу ПТО, которых разделили на 2 группы. В основной группе (n=64) пациентки получали в пред- и послеоперационном периоде традиционную (инфузионную, антибактериальную) терапию в сочетании с приемом ЛП Флогэнзим® по 3 таблетки 3 раза в сутки в течение 30 дней, тогда как в группе сравнения (n=60) применяли только традиционную терапию. Исследование включало оценку анамнеза, ежедневную регистрацию состояния пациенток по таким клиническим параметрам, как оценка уровня боли по Визуальной аналоговой шкале, температуры, состояния раны (отека, гиперемии), продолжительности геморрагических выделений, клинический и биохимический анализы крови при поступлении и выписке из стационара.
Результаты. Возраст пациенток основной группы составил 63,0 (56,8; 69,0) года, группы сравнения – 61,0 (54,3; 68,0) года; p=0,24. У пациенток основной группы отмечена более благоприятная динамика в отношении абсолютно всех изучаемых показателей общего (клинического) анализа крови за исключением скорости оседания эритроцитов. Наблюдали относительную стабильность показателя скорости оседания эритроцитов, которая свидетельствовала о положительном влиянии энзимотерапии на рану. Пациентки исследуемых групп в пред- и послеоперационном периоде статистически значимо не различались по большинству параметров биохимического анализа крови. На момент выписки клиническое улучшение зарегистрировано у 60 (93,7%) пациенток основной группы и у 49 (81,7%) женщин из группы сравнения, что указывает на наличие положительной тенденции в заживлении раны (хи-квадрат Пирсона 3,19; p=0,08). Нежелательных явлений, связанных с приемом препарата, за время наблюдения не отмечено.
Заключение. ЛП Флогэнзим® в стандартной схеме лечения в пред- и послеоперационном периоде при оперативном лечении ПТО способен благоприятно воздействовать на мобильные механизмы пролиферации морфологических элементов поврежденных тканей, стабилизировать биохимические показатели крови, что в перспективе должно сопровождаться оптимизацией репарационных процессов во влагалище. Полученные результаты и отсутствие каких-либо побочных явлений характеризуют ЛП Флогэнзим® как средство с благоприятным клиническим профилем для назначения в пред- и послеоперационном периоде.
Полный текст
Введение
Увеличение продолжительности жизни и числа пожилых людей зачастую приводит к росту числа заболеваний. Согласно данным Федеральной службы государственной статистики по состоянию на 1 января 2023 г. лица старше 65 лет в Российской Федерации составили 16,5%, а женщины, перешедшие 75-летний рубеж, – 9,6% [1]. Независимо от количества различных соматических заболеваний у 50–60% женщин пожилого и старческого возраста в России наблюдается пролапс тазовых органов (ПТО) различной степени тяжести, что требует индивидуального, персонифицированного подхода к диагностике и лечению данной патологии [2].
Ежегодно в мире проводится более 320 млн хирургических операций, значительная часть которых завершается послеоперационными осложнениями. По данным различных источников, около 15–17% пациентов, перенесших хирургическую операцию, имеют осложнения, причем около 40% случаев составляют множественные нежелательные последствия оперативных вмешательств [3]. Спектр осложнений в послеоперационном периоде весьма широк и включает выраженный болевой синдром (БС), инфицирование и нагноение раны, тромбоз, отек различной степени, длительное заживление раны и многое другое, что причиняет вред организму, снижает качество жизни, увеличивает стоимость лечения, время реабилитации, количество повторных госпитализаций и оказывает неблагоприятное влияние на исход оперативного лечения [4]. Хирургические вмешательства по поводу ПТО имеют свои особенности. Важно, что процессы заживления во влагалище зависят от вагинальной среды, характеристик микробиоты, маркеров аутоиммунной агрессии, гормонов и состояния эпителия. Высокая частота травм промежности в родах, оперативных вмешательств на промежности, в том числе по поводу ПТО, способствует росту частоты рецидивов пролапса, достигающей 30–60% случаев [3, 5]. Убедительные данные приводят зарубежные авторы, которые, используя данные крупной базы системы здравоохранения США, сообщили о частоте повторных операций, равной 29,2% [5]. Микробиота оказывает неоспоримое влияние на процессы репарации тканей влагалища и имеет отдаленные результаты после операции. При нарушенной анатомии и топографии органов урогенитального тракта, а также аноректальной дисфункции (ректоцеле, энтероцеле) процессы заживления раны протекают длительно, часто персистируют вагинит, бактериальный вагиноз, наблюдаются нарушения трофики тканей влагалища и шейки матки, что требует комплексного лечения с учетом влияния микробного фактора и выраженности воспалительного процесса, особенно на фоне постменопаузальной атрофии. В условиях операционного стресса, кровопотери и механической травмы во время операции тканей при наличии дисбиоза половых путей и кишечника резко повышается риск развития гнойно-воспалительных осложнений в послеоперационном периоде, что способствует осложнениям и рецидиву ПТО [6].
Профилактическое назначение антибактериальных препаратов накануне операции, призванное улучшить результаты лечения путем профилактики гнойно-септических осложнений, существенно не влияет на исходы операции, нередко являясь причиной развития различных побочных эффектов. Несмотря на разработки исследователей, выполненные с целью диагностики результатов оперативного лечения, не существует совершенной технологии, способной обеспечить раннее выявление рецидивов и осложнений хирургического лечения1. Рецидивы заболевания ведут к неудовлетворенности пациенток и врачей результатами оперативного лечения, что свидетельствует о сложных, не до конца изученных процессах заживления раны во влагалище. Соответственно, проблема поиска новых эффективных и безопасных средств профилактики развития послеоперационных осложнений при одновременном улучшении процессов репарации раны является актуальной задачей современной гинекологии, решение которой позволит снизить количество рецидивов. Применяемые в этих целях лекарственные препараты (ЛП) должны быть безопасными, сокращать потребность в анальгетиках, антибиотиках и других средствах, обладая при этом минимальными побочными эффектами. Одним из ЛП, отвечающим данным требованиям, является комбинация высокоактивных протеолитических энзимов класса гидролаз. Флогэнзим® представляет собой комбинацию двух высокоактивных протеолитических энзимов (бромелаина и трипсина) и рутозида тригидрата, которые обладают синергическим взаимодействием. Экзогенный трипсин расщепляет белковые детриты, фибрин и воспалительные медиаторы, уменьшает отек, боль и воспаление [7, 8]. Бромелайн обладает протеолитической и противовоспалительной активностью, а рутозид, являющийся биофлавоноидом с антиоксидантными свойствами, усиливает действие ферментов и нормализует проницаемость сосудов. До настоящего времени не проведено клинических исследований по применению указанной комбинации для улучшения исходов оперативного лечения ПТО [9–12].
Цель исследования – оценить влияние ЛП Флогэнзим® на течение послеоперационного периода у женщин, перенесших оперативное лечение ПТО.
Материалы и методы
Дизайн исследования. В открытое одноцентровое проспективное сравнительное рандомизированное исследование включены 124 пациентки, перенесшие оперативное лечение по поводу ПТО, включая следующие показания: N81.1 – цистоцеле, N81.2 – неполное выпадение матки и влагалища, N81.3 – полное выпадение матки и влагалища, N81.6 – ректоцеле, а также различные сочетания форм. Исследование проводили на клинической базе кафедры акушерства и гинекологии №2 ФГБОУ ВО БГМУ в гинекологическом отделении ГБУЗ «РКБ им. Г.Г. Куватова» в течение 2023–2024 гг.
Критерии включения: проведение оперативного лечения по поводу ПТО.
Критерии невключения: наличие декомпенсированных хронических заболеваний, перенесенных оперативных вмешательств на органах малого таза в анамнезе.
Критерии исключения: добровольный отказ пациентки от участия в исследовании, прием менее 80% исследуемых препаратов на курс, нарушение процедур протокола.
Рандомизация. После подписания информированного добровольного согласия пациенток включали в одну из групп наблюдения. Рандомизацию осуществляли с помощью таблицы случайных чисел. Пациентки основной группы перед оперативным лечением получали однократную антибиотикопрофилактику и ЛП Флогэнзим® (n=64), а пациентки группы сравнения (n=60) – только антибиотикопрофилактику, проведенную однократно перед оперативным лечением.
Методы лечения. Антибиотикопрофилактика включала назначение всем пациенткам противомикробного препарата цефазолин (Цефазолин-АКОС, Россия) по 1,0 г внутривенно однократно за 60 мин до оперативного вмешательства. Терапия энзимами включала назначение в пред- и послеоперационном периоде кишечнорастворимых таблеток Флогэнзим® (таблеток кишечнорастворимых, покрытых оболочкой), содержащих бромелаин 450 FIP Ед. (90,0 мг), трипсин 1440 FIP Ед. (48,0 мг), рутозида тригидрат 100,0 мг (Мукос Фарма ГмбХ и Ко, КГ, Германия), в дозе по 3 таблетки 3 раза в сутки за день до операции и далее в послеоперационном периоде в течение 4 нед. Выбранный режим дозирования имеет свое обоснование. Согласно имеющимся фармакологическим данным ЛП Флогэнзим обладает накопительным эффектом. Установлено, что в первые несколько суток концентрация энзимов в кровотоке повышается и нарастает с каждым приемом препарата [13]. Соответственно, для достижения максимального терапевтического эффекта Флогэнзим назначали за сутки до операции. Пациентки обеих групп получали наркотические и ненаркотические анальгетики (трамадол, нестероидные противовоспалительные препараты кетопрофен и кеторолак) в зависимости от выраженности БС. Все ЛП использовали в соответствии с действующими инструкциями, опубликованными в Государственном реестре лекарств (https://grls.minzdrav.gov.ru).
Методы обследования. Всем пациенткам обеих групп при поступлении проводили обследование согласно приказу Минздрава России от 20.10.2020 №1130н «Об утверждении Порядка оказания медицинской помощи по профилю “Акушерство и гинекология”» (зарегистрирован в Минюсте России 12.11.2020 №60869) в полном объеме. Выполняли комплексное обследование пациенток с использованием клинических, принятых в гинекологии, и лабораторных методов диагностики. До включения пациенток в исследование и начала лечения путем опроса собирали данные и оценивали социальные показатели, общий и гинекологический анамнез. Материалом динамического наблюдения при поступлении и выписке из стационара стали клинический и биохимический анализы крови. Клиническую эффективность терапии оценивали ежедневно на протяжении всей госпитализации по следующим параметрам: температура тела, БС по Визуальной аналоговой шкале (ВАШ), местные изменения в зоне операции (гиперемия, гематома, отек, выделения из влагалища, нарушения мочеиспускания). Оперативные вмешательства выполняли в соответствии с действующими клиническими рекомендациями.
Статистический анализ. Расчеты осуществляли с использованием языка программирования R version 4.1.3 (The R Foundation for Statistical Computing, Vienna, Austria) и GraphPad Prism 10 (GraphPad Software Inc., Graphpad Holdings LLC, San Diego, CA, USA). Нормальность распределения признаков оценивали с помощью критерия Колмогорова–Смирнова. Для сравнения двух независимых групп по одному количественному признаку при нормальном распределении применяли критерий Манна–Уитни (U), при распределении, отличном от нормального, – критерий Стьюдента (t), а для сравнения значений двух зависимых групп – критерий Уилкоксона, который автоматически преобразуется в величину Z (z-score). Номинальные данные описывали с указанием процентных долей и абсолютных значений. Номинальные данные исследования сравнивали при помощи критерия хи-квадрата Пирсона, позволяющего оценить значимость различий между фактическим количеством исходов или качественных характеристик выборки и теоретическим количеством, которое можно ожидать в изучаемых группах при справедливости нулевой гипотезы. Для сравнения двух малых независимых групп номинальных данных использовали критерий хи-квадрат с поправкой Йейтса на непрерывность (χ2), для сравнения нескольких малых независимых групп – хи-квадрат Пирсона с поправкой на правдоподобие (χ2), а для сравнения двух зависимых групп показателей – критерий Мак-Нимара (χ2). Во всех случаях р<0,05 считали статистически значимым [14–18].
Результаты
Общие сведения о пациентках
Пациентки обследуемых групп исходно сопоставимы по основным параметрам (табл. 1).
Таблица 1. Сравнение пациенток исследуемых групп по ряду основных параметров Table 1. Comparison of patients in the study groups according to a number of key parameters | |||
Параметр исследования | Группы исследования | Тестовая статистика | |
основная (n=64) | сравнения (n=60) | ||
Возраст, лет | 63,0 (56,8; 69,0) | 61,0 (54,3; 68,0) | U=2639,5; p=0,24 |
Менархе, лет | 14,0 (13,0; 16,0) | 15,0 (13,0; 16,0) | U=2798,5; p=0,63 |
Число беременностей | 5,0 (4,0; 7,0) | 5,0 (3,0; 7,0) | U=2428,5; p=0,051 |
Число родов | 3,0 (2,0; 3,0) | 2,0 (2,0; 3,0) | U=2507,0; p=0,08 |
Пациентки также сопоставимы по распределению категорий массы тела (МТ); табл. 2.
Таблица 2. Распределение категорий МТ в группах исследования Table 2. Distribution of body weight categories in study groups | |||
Категория МТ | Группы исследования, абс. (%) | Оценка | |
основная (n=64) | сравнения (n=60) | ||
Дефицит МТ | 7 (10,9) | 4 (6,7) | χ2=1,94, |
Нормальная МТ | 15 (23,5) | 14 (23,3) | |
Избыточная МТ | 18 (28,1) | 20 (33,3) | |
Ожирение | |||
1-й степени | 14 (21,9) | 12 (20,0) | |
2-й степени | 8 (12,5) | 6 (10,0) | |
3-й степени | 2 (3,1) | 4 (6,7) | |
Уровень образования у пациенток обследуемых групп был сопоставим, однако в группе сравнения превалировали городские трудоспособные пациентки со среднеспециальным образованием (табл. 3).
Таблица 3. Медико-социальная характеристика обследованных женщин Table 3. Medical and social characteristics of the examined women | |||
Показатели | Группы исследования, абс. (%) | Оценка | |
основная (n=64) | сравнения (n=60) | ||
Образование | |||
Среднее | 10 (15,6) | 8 (13,3) | χ2=0,76, |
Среднеспециальное | 43 (67,2) | 38 (63,3) | |
Высшее | 11 (17,2) | 14 (23,4) | |
Место проживания | |||
Сельская местность | 31 (48,4) | 18 (30,0) | χ2=4,41, |
Город | 33 (51,6) | 42 (70,0) | |
Род деятельности | |||
Работающие | 14 (21,9) | 24 (40,0) | χ2=8,59, |
Неработающие | 13 (20,3) | 15 (25,0) | |
Домохозяйки | 13 (20,3) | 11 (18,3) | |
Пенсионерки | 24 (37,5) | 10 (16,7) | |
В целом группы исследования сопоставимы по классификационной принадлежности ПТО в соответствии с Международной классификацией болезней 10-го пересмотра, однако в основной группе более часто встречалось сочетание форм, что увеличивало риски как послеоперационных осложнений, так и рецидива (табл. 4).
Таблица 4. Распределение пациенток в зависимости от классификационной принадлежности Table 4. Distribution of patients depending on the classification of pelvic | |||
Классификационная | Группы исследования, абс. (%) | Оценка значимости | |
основная | сравнения | ||
N81.1 | 46 (71,9) | 41 (68,4) | χ2=1,94; p=0,67 |
N81.2 | 35 (54,7) | 30 (50,0) | χ2=0,27; p=0,6 |
N81.3 | 26 (40,6) | 23 (38,3) | χ2=0,07; p=0,8 |
N81.6 | 15 (23,4) | 9 (15,0) | χ2=2,79; p=0,1 |
Сочетание форм | 58 (90,6) | 43 (71,7) | χ2=7,37; p=0,007 |
Исследуемые группы сопоставимы между собой как по частоте, так и по структуре соматической патологии. Среднее количество соматических заболеваний составило 3,55±0,36 и 2,78±0,24 в основной и группе сравнения соответственно (табл. 5).
Таблица 5. Сравнительные данные о частоте и структуре соматических заболеваний в группах исследования Table 5. Comparative data on the frequency and structure of somatic diseases in the study groups | |||
Нозология, абс. (%) | Группы исследования | Оценка значимости различий | |
основная (n=64) | сравнения (n=60) | ||
Класс III (D50-D59). Болезни крови, кроветворных органов | 2 (3,1) | 1 (1,7) | χ2=0,01; |
Класс IV (E00-E90). Болезни эндокринной системы | 22 (34,4) | 16 (26,7) | χ2=0,87; |
Класс VI. Болезни нервной системы [G00-G99] | 5 (7,8) | 3 (5,0) | χ2=0,07; |
Класс VII. Болезни глаза и его придаточного аппарата [H00-H59] | 13 (20,3) | 7 (11,7) | χ2=1,71; |
Класс IX. Болезни системы кровообращения [I00-I99] | 45 (70,4) | 32 (53,4) | χ2=3,79; |
Класс X (J00-J99). Болезни органов дыхания (хронический тонзиллит, | 24 (37,5) | 15 (25,0) | χ2=2,24; |
Класс XI. Болезни органов пищеварения [K00-K93] | 49 (76,6) | 37 (61,7) | χ2=3,23, |
XIII (M00-M99). Болезни костно-мышечной системы и | 13 (20,3) | 16 (26,7) | χ2=0,7; |
Класс XIV (N00-N99). Болезни мочеполовой системы | 10 (15,6) | 5 (8,3) | χ2=1,58; |
XIX. Травмы, отравления и некоторые другие последствия воздействия | 2 (3,1) | 0 (0,0) | χ2=0,45; |
Количество соматических заболеваний/среднее | 3,55±0,36 | 2,78±0,24 | t=1,78, |
Оценка эффективности лечения
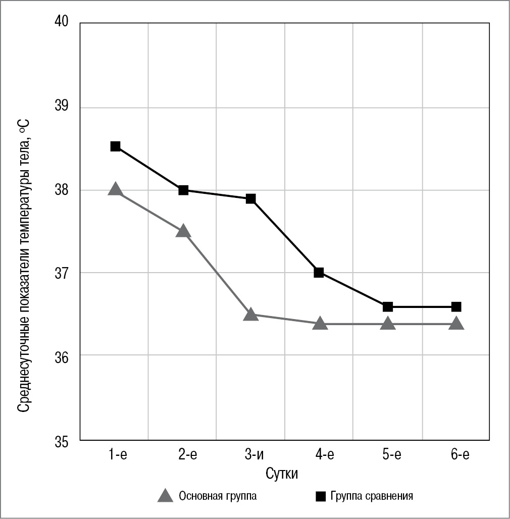
Мониторинг температуры тела пациенток проводили 2 раза в день ежедневно, что позволило выявить значимые отличия температурной кривой в группах исследования. В основной группе максимальная среднесуточная температура в первые сутки составила 38°C, в группе сравнения – 38,5°C. У большинства пациенток основной группы нормализация среднесуточной температуры произошла на 3-е сутки, группы сравнения – на 5-е сутки (рис. 1).
Рис. 1. Динамика температуры тела у пациенток исследуемых групп.
Fig. 1. Dynamics of body temperature in patients of the study groups.
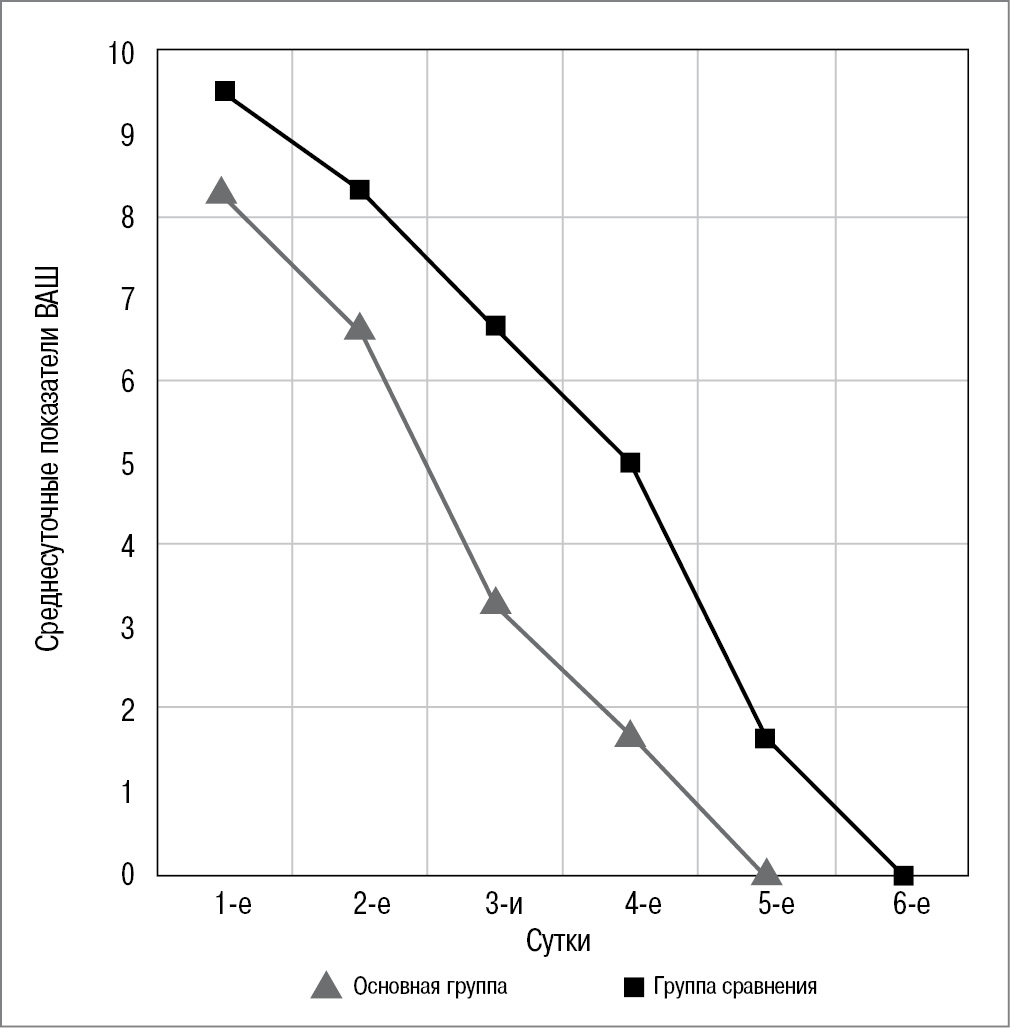
Ежедневную оценку боли по ВАШ выполняли каждые 3 ч в покое, что позволило выявить особенности динамики снижения выраженности БС в группах исследования (рис. 2).
Рис. 2. Динамика интенсивности боли по ВАШ у пациенток исследуемых групп.
Fig. 2. Dynamics of pain intensity according to VAS in patients of the study groups.
В 1-е сутки после операции результат 10 баллов наблюдали у всех пациенток, что требовало назначения наркотических и ненаркотических анальгетиков (внутримышечных инъекций трамадола по 100 мг каждые 6 ч и кеторолака по 30 мг каждые 8 ч). Через 15 мин после выполнения анальгезии в основной группе интенсивность БС снизилась у 20 (31,2%) пациенток с исходных 6–7 до 1–2 баллов. Полностью БС купирован с исходных 5–6 баллов у 44 (68,7%) женщин. В группе сравнения у 15 (25%) пациенток интенсивность БС снизилась с исходных 6–7 баллов до 1–2. У 9 (15,0%) пациенток выраженность БС снизилась с исходных 7 до 4 баллов. У 36 (60,0%) пациенток боль купирована полностью с исходных 5–6 баллов. Соответственно, интенсивность БС в группе сравнения снизилась в среднем на 4 балла. Однако при оценке состояния пациенток через 60 и 95 мин после выполнения анальгезии выявлено, что у 8 (13,3%) пациенток группы сравнения произошел рецидив БС, что потребовало повторного внутривенного введения трамадола в дозе 100 мг. На 2-е сутки послеоперационного периода интенсивность боли в основной группе снизилась, что позволило перейти на ненаркотические анальгетики, в отличие от группы сравнения, где БС сохранялся на прежнем уровне и потребовал применения наркотических анальгетиков еще в течение суток. БС у пациенток основной группы значительно регрессировал уже на 3-и сутки в сравнении с пациентками группы сравнения. Несмотря на то что объем оперативных вмешательств у пациенток обеих групп был сопоставимым, у пациенток основной группы удалось сократить сроки и кратность введения наркотических анальгетиков в течение 1-х суток, затем перейти на ненаркотические и полностью отказаться от них уже на 5-е сутки, при этом в группе сравнения БС сохранялся в течение 6 дней.
Клиническое течение послеоперационного периода при сопоставлении результатов на 1-е сутки и при выписке статистически значимо не различалось в группах исследования. Однако следует обратить внимание, что в основной группе отек и гиперемия в области зоны операции исчезли на 3-и сутки, в то время как в группе сравнения – только на 5-е сутки. У пациенток, принимавших Флогэнзим®, отмечена более выраженная положительная динамика в отношении снижения частоты встречаемости геморрагических выделений из влагалища (табл. 6).
Таблица 6. Клиническое течение послеоперационного периода у пациенток в группах исследования Table 6. Clinical manifestations of the postoperative period | ||||||||
Показатели | Группы исследования, абс. (%) | Статистическая значимость | ||||||
основная (n=64) | сравнения (n=60) | |||||||
1-е сутки | при выписке | значимость | 1-е сутки | при | значимость | 1-е сутки | при выписке | |
Отек | 5 (7,8) | 0 (0,0) | χ2=58,0; p<0,001 | 8 (13,3) | 2 (3,3) | χ2=45,4; p<0,001 | χ2=0,5; p=0,48 | χ2=0,58; p=0,45 |
Гиперемия | 4 (6,2) | 0 (0,0) | χ2=59,0; p<0,001 | 8 (13,3) | 0 (0,0) | χ2=51,0; p<0,001 | χ2=1,06; p=0,3 | NaN; p=1,0 |
Гематома | 1 (1,6) | 0 (0,0) | χ2=62,0; p<0,001 | 6 (10,0) | 0 (0,0) | χ2=53,0; p<0,001 | χ2=2,71; p=0,1 | NaN; p=1,0 |
Геморрагические | 16 (25,0) | 3 (4,7) | χ2=47,0; p<0,001 | 21 (35,0) | 6 (10,0) | χ2=235; p<0,001 | χ2=0,37; p=0,54 | χ2=0,63; p=0,43 |
Катетеризация | 64 (100,0) | 0 (0,0) | NaN; p<0,001 | 60 (100,0) | 0 (0,0) | NaN; p<0,001 | NaN; p=1,0 | NaN; p=1,0 |
Нарушения | 8 (12,5) | 0 (0,0) | χ2=55,0; p<0,001 | 15 (25,0) | 3 (5,0) | χ2=35,9; p<0,001 | χ2=3,2; p=0,07 | χ2=1,5; p=0,22 |
На момент выписки клиническое улучшение, которое включало полностью удовлетворительное состояние операционной раны, температуру тела, отсутствие жалоб, восстановление самостоятельного мочеиспускания и дефекации, зарегистрировано у 93,7% (n=60) пациенток основной группы и у 81,7% (n=49) женщин группы сравнения, что указывает на наличие значительной положительной тенденции, хотя и не является статистически значимым (χ2=3,19; p=0,08).
У пациенток, принимавших Флогэнзим®, отмечена более благоприятная динамика в отношении абсолютно всех изучаемых показателей общего (клинического) анализа крови, за исключением скорости оседания эритроцитов (СОЭ). Относительная стабильность СОЭ свидетельствует о положительном влиянии препарата Флогэнзим на процессы заживления раны во влагалище (табл. 7).
Таблица 7. Сравнение показателей клинического анализа крови у пациенток исследуемых групп Table 7. Dynamics of general blood analysis in patients of the study groups | ||||||||
Показатели | Основная (n=64) | Сравнения (n=60) | Статистическая значимость | |||||
перед | при | значимость | перед операцией | при выписке | значимость динамических изменений | перед операцией | при выписке | |
Гемоглобин, | 128,0 | 117,0 | Z=-4,2; | 134,0 | 125,0 | Z=-6,8; p<0,001 | U=2022,5; p<0,001 | U=2503,0; p=0,007 |
Эритроциты, | 4,5 | 4,2 | Z=-5,5; | 4,5 | 4,2 | Z=-6,2; p<0,001 | U=2994,0; p=0,43 | U=3039,5; p=0,41 |
Гематокрит, | 36,9 | 36,0 | Z=-2,4; | 40,0 | 37,3 | Z=-4,0; p<0,001 | U=697,5; p=0,002 | U=2563,0; p=0,012 |
Тромбоциты, | 277,5 | 265,0 | Z=-2,3; | 243,0 | 290,0 | Z=-5,8; p<0,001 | U=2200,5; p<0,001 | U=2747,5; p=0,06 |
СОЭ, мм/ч | 14,5 | 14,3 | Z=-1,7; | 11,0 | 13,2 | Z=-2,3; p=0,02 | U=1826,5; p=0,03 | U=2630,5, p=0,05 |
Лейкоциты, | 6,5 | 7,3 | Z=-2,4; | 5,6 | 6,5 | Z=-4,6; p<0,001 | U=2161,5; p<0,001 | U=2478,5; p=0,005 |
Пациентки исследуемых групп в пред- и послеоперационном периоде статистически значимо не различались по большинству параметров биохимического анализа крови, что не позволяет сделать выводы о значимости применения Флогэнзим® при первичном анализе данных. Однако пациентки исследуемых групп различались по уровню креатинина при госпитализации и выписке, что не изменило клиническую картину биохимических показателей, т.к. значения креатинина в обеих исследуемых группах не выходили за пределы референсных значений.
Обсуждение
До настоящего времени профилактика и лечение послеоперационных осложнений у хирургических больных остаются актуальной задачей. По мнению академика В.И. Стручкова (1949 г.), снижение послеоперационных осложнений, улучшение послеоперационного периода определяются комплексным методом терапии, «а не только местным» лечением раны, каким бы полезным оно ни было. В настоящее время борьба с послеоперационными осложнениями и их профилактика в основном осуществляются применением антибиотиков. Однако негативным последствием оперативного лечения ПТО является высокая частота рецидивов, что не удовлетворяет хирургов и пациенток ввиду сохраняющихся в послеоперационном периоде расстройств функции тазовых органов.
Системная энзимотерапия (СЭТ) – это современный метод лечения, основанный на применении комбинации высокоактивных гидролитических ферментов. СЭТ способна оказывать противовоспалительное, иммуномодулирующее, тромбо- и фибринолитическое, антиагрегантное, противоотечное действие, а также повышать эффективность антибиотикотерапии, которая оценивается в способности оказывать разрушающее действие на биопленки, повышать концентрацию антибиотика в очаге воспаления и снижать побочные эффекты противомикробных препаратов. Согласно И.А. Аполихиной (2023 г.) проведение СЭТ можно расценивать как дополнение к традиционному лечению в до- и послеоперационном периоде, что позволяет уменьшить отек тканей, предупредить избыточное образование спаек и развитие фиброза [4]. При использовании СЭТ сокращаются сроки всех стадий репаративной регенерации на фоне уменьшения воспалительной реакции. Все это влияет на результаты оперативного лечения, способствует нормализации функционального состояния стенки влагалища, мочевого пузыря и прямой кишки, улучшает мочеиспускание, дефекацию и сексуальную функцию. Достигнутые в исследовании клинические эффекты при применении СЭТ в послеоперационном периоде позволяют улучшить результаты как в моменте, так и в долгосрочной перспективе, что подтверждается в работе А.Ж. Нурмакова и соавт. (2019 г.). В исследовании с участием 1327 хирургических пациентов установлено, что применение Флогэнзим® более чем в 2 раза снижает частоту возникновения местных и общих осложнений в раннем и отдаленном послеоперационном периоде [19].
Различные ферменты в организме человека необходимы для улучшения процессов, гидролиза белков в клетках и тканях, включая ангиогенез, морфогенез и восстановление тканей, благодаря которым уменьшаются боль, отек и время заживления тканей. Данные фармакологические эффекты подтверждены нашей клинической практикой и схожи с результатами метаанализа на основании 6 рандомизированных клинических исследований с участием 774 пациентов. При оценке БС и признаков воспалительного процесса у травматологических пациентов Флогэнзим® показал сопоставимую эффективность с нестероидными противовоспалительными препаратами и превосходный профиль переносимости/безопасности, выражающийся значительно более низким риском возникновения нежелательных явлений, связанных с лечением [20]. Ускорение заживления тканей прямо и косвенно продемонстрировано в исследованиях А.Ж. Нурмакова и соавт. (2009, 2016 гг.). Доказано, что дополнительное назначение Флогэнзим® в раннем послеоперационном периоде способствовало заживлению тканей первичным натяжением и на 2 суток сокращало сроки пребывания в стационаре [19, 21].
По результатам исследования показано, что дополнение традиционного лечения препаратами, содержащими энзимы, повышает репаративный эффект, защищает ткани от окислительного стресса, улучшает клеточную передачу сигналов и иммунную функцию организма [9]. В результате СЭТ ослабляется чрезмерная физиологическая реакция организма на болезни и повреждения, что позволяет более эффективно использовать механизмы, способствующие восстановлению поврежденных структур. Значимая положительная тенденция маркеров воспалительного процесса (СОЭ и лейкоцитоза) установлена в результатах данного исследования и в плацебо-контролируемом исследовании И.Г. Трухановой, в котором Флогэнзим® применяли для коррекции иммунных нарушений у больных с травматической болезнью [22]. Основным структурным компонентом Флогэнзим® является трипсин, представляющий собой эндопептидазу, которая избирательно гидролизует пептидные цепи по остаткам аргинина и лизина. Он также может гидролизовать натуральные или денатурированные белки, фибронектин и муцин до более мелких пептидов или аминокислот [10]. Данный избирательный гидролитический эффект трипсина, который в основном связан со структурой белка, способен гидролизовать денатурированный белок, возникающий при воздействии внешних физических или химических факторов, что позволяет усилить обезболивающий эффект при назначении анальгетиков. После денатурации структура белков-субстратов становится более рыхлой, обнажаются специфические участки гидролиза, что позволяет трипсину расщеплять их на более короткие аминокислотные цепочки [11].
Отличительными особенностями трипсина при терапевтическом применении являются усиление способности проникновения ЛП и антибиотиков в пораженный участок и способность оказывать вспомогательное воздействие на всасывание лекарств [12]. Таким образом, трипсин, входящий в состав Флогэнзим®, способен оказывать противовоспалительное, противоотечное, ранозаживляющее и противоинфекционное действие как прямым, так и непрямым способом. Он непосредственно воздействует на область поражения, расщепляя денатурированные белки, а также вследствие тромбо- и фибринолитических, антиагрегантных, противовоспалительных и противоинфекционных свойств способствует ускоренному заживлению послеоперационной раны. Бромелаин, входящий в состав препарата Флогэнзим®, обеспечивает дополнительное противовоспалительное и иммуномодулирующее действие в условиях воспалительного процесса в послеоперационной ране. Так, согласно актуальному систематическому обзору (2024 г.) бромелайн в дополнение к ускорению процесса заживления снижает сверхпроизводство интерлейкина-1β, 6 и фактора некроза опухоли α, вызывая модуляцию воспалительной реакции за счет снижения простагландинов и активации каскадных реакций, которые запускают нейтрофилы и макрофаги [23].
Заключение
Препарат Флогэнзим® в стандартной схеме лечения в пред- и послеоперационном периоде при оперативном лечении ПТО способен благоприятно воздействовать на мобильные механизмы пролиферации морфологических элементов поврежденных тканей и стабилизировать биохимические показатели. Все это улучшает репарационные процессы при заживлении послеоперационной раны во влагалище, позволяет снизить количество осложнений и рецидивов в долгосрочной перспективе.
Раскрытие интересов. Авторы декларируют отсутствие явных и потенциальных конфликтов интересов, связанных с публикацией настоящей статьи.
Disclosure of interest. The authors declare that they have no competing interests.
Вклад авторов. Авторы декларируют соответствие своего авторства международным критериям ICMJE. Все авторы в равной степени участвовали в подготовке публикации: разработка концепции статьи, получение и анализ фактических данных, написание и редактирование текста статьи, проверка и утверждение текста статьи.
Authors’ contribution. The authors declare the compliance of their authorship according to the international ICMJE criteria. All authors made a substantial contribution to the conception of the work, acquisition, analysis, interpretation of data for the work, drafting and revising the work, final approval of the version to be published and agree to be accountable for all aspects of the work.
Источник финансирования. Авторы декларируют отсутствие внешнего финансирования для проведения исследования и публикации статьи.
Funding source. The authors declare that there is no external funding for the exploration and analysis work.
Соответствие принципам этики. Протокол исследования был одобрен локальным этическим комитетом ФГБОУ ВО БГМУ (протокол №54 от 2019 г.). Одобрение и процедуру проведения протокола получали по принципам Хельсинкской декларации.
Compliance with the principles of ethics. The study was approved by the local ethics committee of Bashkir State Medical University (protocol №54 dated 2019). The approval and procedure for the protocol were obtained in accordance with the principles of the Declaration of Helsinki.
Информированное согласие на публикацию. Пациентки подписали форму добровольного информированного согласия на публикацию медицинской информации.
Consent for publication. Written consent was obtained from the patients for publication of relevant medical information and all of accompanying images within the manuscript.
1 Зиганшин А.М. Способ прогнозирования акушерской травмы промежности у нерожавших женщин. Патент RU 2817495 c1. 16.04.2024; Зиганшин А.М. Способ прогнозирования степени риска формирования пролапса тазовых органов у женщин. Патент RU 2766168 C1. 08.02.2022; Зиганшин А.М. Программа оценки риска развития пролапса тазовых органов. Программа для ЭВМ RU 2021614516. 25.03.2021.
Об авторах
Айдар Миндиярович Зиганшин
ФГБОУ ВО «Башкирский государственный медицинский университет» Минздрава России; ГБУЗ «Республиканская клиническая больница им. Г.Г. Куватова»
Автор, ответственный за переписку.
Email: Zigaidar@yandex.ru
ORCID iD: 0000-0001-5474-1080
д-р мед. наук, проф., доц. каф. акушерства и гинекологии, врач – акушер-гинеколог гинекологического отд-ния
Россия, Уфа; УфаЭлина Айдаровна Шайхиева
ГБУЗ «Республиканский медико-генетический центр»
Email: Zigaidar@yandex.ru
ORCID iD: 0000-0002-8145-990X
врач – акушер-гинеколог отд-ния охраны здоровья семьи и репродукции
Россия, Уфа
Чулпан Хусаеновна Валиахметова
ГБУЗ «Республиканская клиническая больница им. Г.Г. Куватова»
Email: Zigaidar@yandex.ru
ORCID iD: 0009-0000-7156-7280
канд. мед. наук, врач-организатор здравоохранения, зам. глав. врача по медицинской части
Россия, УфаСписок литературы
- Федеральная служба государственной статистики. Режим доступа: https://rosstat.gov.ru. Ссылка активна на 30.12.2024 [Federal'naia sluzhba gosudarstvennoi statistiki. Available at: https://rosstat.gov.ru. Accessed: 30.12.2024 (in Russian)].
- Зиганшин А.М. Пролапс гениталий: персонифицированная тактика прогнозирования, диагностики, лечения и профилактики. Автореф. дис. … д-ра мед. наук. Уфа, 2023 [Ziganshin AM. Prolaps genitalii: personifitsirovannaia taktika prognozirovaniia, diagnostiki, lecheniia i profilaktiki. Avtoref. dis. … d-ra med. nauk. Ufa, 2023 (in Russian)].
- Tevis SE, Cobian AG, Truong HP, et al. Implications of Multiple Complications on the Postoperative Recovery of General Surgery Patients. Ann Surg. 2016;263(6):1213-8. doi: 10.1097/SLA.0000000000001390
- Аполихина И.А. Роль системной энзимотерапии препаратом Флогэнзим в профилактике послеоперационных осложнений в гинекологической практике. Фарматека. 2023;4-5:133-7 [Apolikhina IA. The role of systemic enzyme therapy with the drug Phlogenzym in the prevention of postoperative complications in gynecological practice. Pharmateka. 2023;4-5:133-7 (in Russian)]. doi: 10.18565/pharmateca.2023.4-5.133-137
- Попандопуло В.А., Тарабанова О.В., Ордокова А.Н. Пролапс тазовых органов у женщин: причины, патогенез, хирургическое лечение: учебно-методическое пособие. Майкоп. 2024 [Popandopulo VA, Tarabanova OV, Ordokova AN. Prolaps tazovykh organov u zhenshchin: prichiny, patogenez, khirurgicheskoe lechenie: uchebno-metodicheskoe posobie. Maikop. 2024 (in Russian)].
- Каюмова Д.Т. Важность санации кишечника перед пластической операцией влагалища и промежности. Режим доступа: http://repo.tma.uz/xmlui/handle/1/72. Ссылка активна на 30.12.2024 [Kaiumova DT. Vazhnost' sanatsii kishechnika pered plasticheskoi operatsiei vlagalishcha i promezhnosti. Available at: http://repo.tma.uz/xmlui/handle/1/72. Accessed: 30.12.2024 (in Russian)].
- Asano-Kato N, Fukagawa K, Okada N, et al. Tryptase increases proliferative activity of human conjunctival fibroblasts through protease-activated receptor-2. Invest Ophthalmol Vis Sci. 2005;46(12):4622-6. doi: 10.1167/iovs.05-0388
- Ohlsson B, Yusa T, Rehfeld JF, et al. Effects of intraluminal trypsin and bile on the exocrine and endocrine pancreas after pancreaticobiliary diversion and biliodigestive shunt. Pancreas. 2000;20(2):170-6. doi: 10.1097/00006676-200003000-00010
- Kerkhoffs GM, Struijs PA, de Wit C, et al. A double blind, randomised, parallel group study on the efficacy and safety of treating acute lateral ankle sprain with oral hydrolytic enzymes. Br J Sports Med. 2004;38(4):431-5. doi: 10.1136/bjsm.2002.004150
- Huijghebaert S, Vanham G, Van Winckel M, Allegaert K. Does Trypsin Oral Spray (Viruprotect(®)/ColdZyme(®)) Protect against COVID-19 and Common Colds or Induce Mutation? Caveats in Medical Device Regulations in the European Union. Int J Environ Res Public Health. 2021;18(10):5066. doi: 10.3390/ijerph18105066
- Henrotin YE, Michlmayr C, Rau SM, et al. Combination of Enzymes and Rutin to Manage Osteoarthritis Symptoms: Lessons from a Narrative Review of the Literature. Rheumatol Ther. 2022;9(5):1305-37. doi: 10.1007/s40744-022-00472-7
- Yu RL, Chen SW, Li LQ, et al. Drug treatment and prognosis of community-acquired pneumonia in the elderly. Medical Frontier. 2019;9(27):2.
- Lorkowski G. Gastrointestinal absorption and biological activities of serine and cysteine proteases of animal and plant origin: review on absorption of serine and cysteine proteases. Int J Physiol Pathophysiol Pharmacol. 2012;4(1):10-27.
- Мудров В.А. Алгоритмы статистического анализа данных биомедицинских исследований с помощью пакета программ SPSS (доступным языком). М.: Логосфера, 2022 [Mudrov VA. Algoritmy statisticheskogo analiza dannykh biomeditsinskikh issledovanii s pomoshch'iu paketa programm SPSS (dostupnym iazykom). Moscow: Logosfera, 2022 (in Russian)].
- Мудров В.А. Алгоритмы статистического анализа количественных признаков в биомедицинских исследованиях с помощью пакета программ SPSS. Забайкальский медицинский вестник. 2020;1:140-50 [Mudrov VA. Statistical analysis algorithms of quantitative features in biomedical researchusing the SPSS software package. Zabajkal’skij medicinskij vestnik = Transbaikalian Medical Bulletin. 2020;1:140-50 (in Russian)]. doi: 10.52485/19986173_2020_1_140
- Мудров В.А. Алгоритмы статистического анализа качественных признаков в биомедицинских исследованиях с помощью пакета программ SPSS. Забайкальский медицинский вестник. 2020;1:151-63 [Mudrov VA. Statistical analysis algorithms of qualitative features in biomedical research using the SPSS software package. Zabajkal’skij medicinskij vestnik = Transbaikalian Medical Bulletin. 2020;1:151-63 (in Russian)]. doi: 10.52485/19986173_2020_1_151
- Мудров В.А. Алгоритмы корреляционного анализа данных в биомедицинских исследованиях с помощью пакета программ SPSS. Забайкальский медицинский вестник. 2020;2:169-76 [Mudrov VA. Algorithms for performing data correlation analysis in biomedical research using the SPSS software package. Zabajkal’skij medicinskij vestnik = Transbaikalian Medical Bulletin. 2020;2:169-76 (in Russian)]. doi: 10.52485/19986173_2020_2_169
- Мудров В.А. Алгоритмы регрессионного анализа данных в биомедицинских исследованиях с помощью пакета программ SPSS. Забайкальский медицинский вестник. 2020;2:177-90 [Mudrov VA. Regression analysis algorithms in biomedical research using the spss software package. Zabajkal’skij medicinskij vestnik = Transbaikalian Medical Bulletin. 2020;2:177-90 (in Russian)]. doi: 10.52485/19986173_2020_2_177
- Нурмаков А.Ж., Баймухамедов А.А., Надыров М.Т. Эффективность полиэнзимного препарата Вобэнзим плюс в хирургии. Медицина. 2016;6:22-8 [Nurmakov AZh, Baimukhamedov AA, Nadyrov MT. Effektivnost' polienzimnogo preparata Vobenzim plius v khirurgii. Meditsina. 2016;6:22-8 (in Russian)].
- Ueberall MA, Mueller-Schwefe GH, Wigand R, Essner U. Efficacy, tolerability, and safety of an oral enzyme combination vs diclofenac in osteoarthritis of the knee: results of an individual patient-level pooled reanalysis of data from six randomized controlled trials. J Pain Res. 2016;9:941-61. doi: 10.2147/JPR.S108563
- Нурмаков А.Ж., Надыров М.Т., Калиев А.К. Применение системной энзимотерапии в комплексе профилактики послеоперационных осложнений. Вестник хирургии Казахстана. 2009;1(17):54-5 Nurmakov AZh, Nadyrov MT, Kaliev AK. Primenenie sistemnoi enzimoterapii v komplekse profilaktiki posleoperatsionnykh oslozhnenii. Vestnik khirurgii Kazakhstana. 2009;1(17):54-5 (in Russian)].
- Труханова И.Г. Использование энзимотерапии в коррекции иммунных нарушений при травматической болезни. Медицинская иммунология. 2003;(3-4):407-8 [Trukhanova IG. Ispol'zovanie enzimoterapii v korrektsii immunnykh narushenii pri travmaticheskoi bolezni. Meditsinskaia immunologiia. 2003;(3-4):407-8 (in Russian)].
- Alves Nobre T, de Sousa AA, Pereira IC, et al. Bromelain as a natural anti-inflammatory drug: a systematic review. Nat Prod Res. 2025;39(5):1258-21. doi: 10.1080/14786419.2024.2342553





